클릭 하시면 이동합니다.
안리쓰 ・ ANRITSU
MS2035B
VNA 마스터 + 스펙트럼분석기
MS2035B VNA Master + Spectrum Analyzer
합리적인 가격의 S-파라미터 경쟁력에서 터치스크린의 편리함
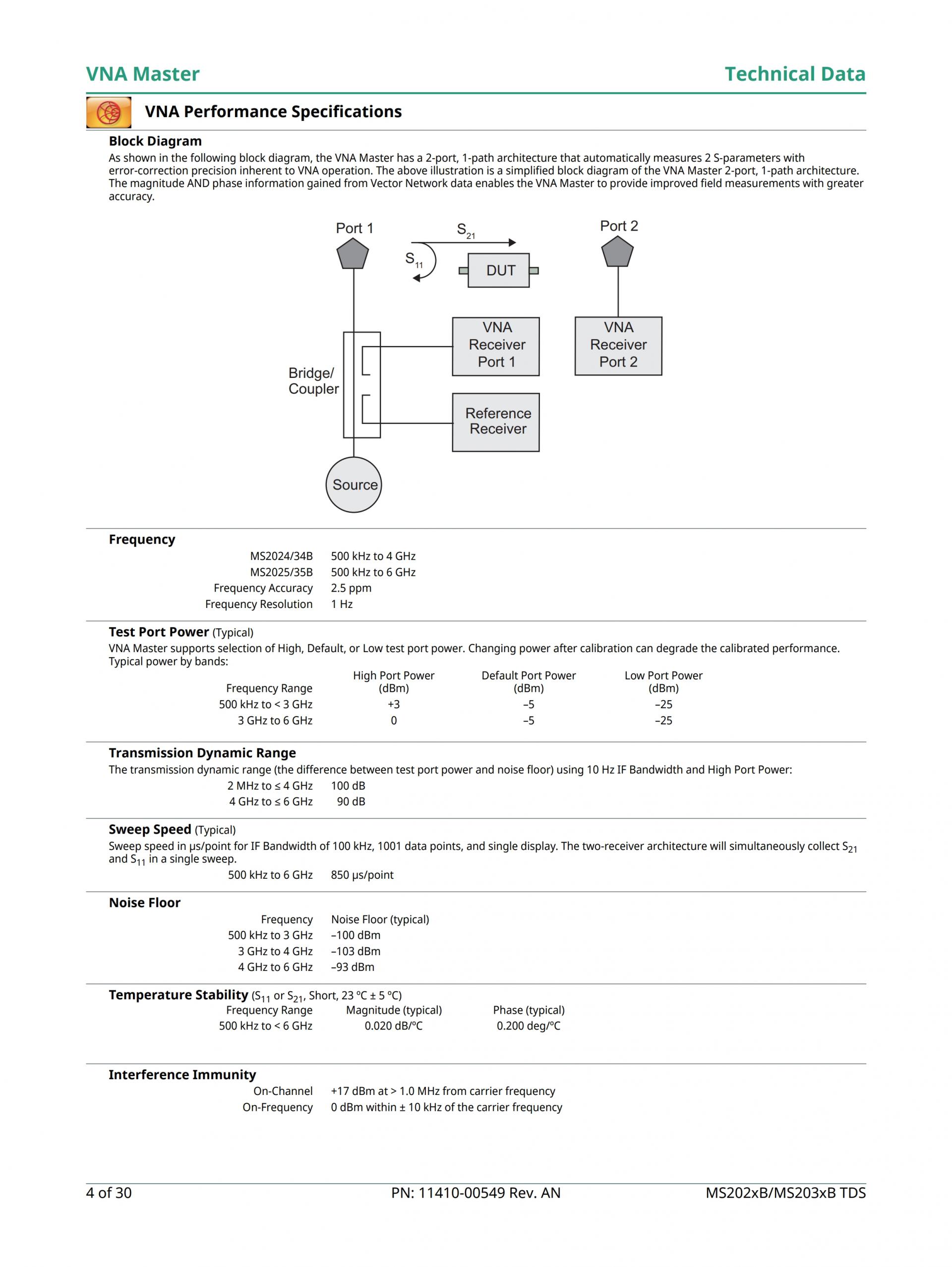
스펙트럼 분석기가 추가된 VNA 마스터 MS2035B는 크기가 작고 강력한 VNA 분야에서 높은 성능을 발휘합니다. 진정한 벡터 오류 수정 S-파라미터 데이터를 제공하는 이 분석기는 대형 고해상도(800 x 600) 터치 스크린 디스플레이와 함께 사용하기 쉽고 모델 및 옵션에 따라 VNA 측정 이상의 기능을 제공합니다. 업계 최고의 DANL 및 위상 노이즈 성능. 표준 기능에는 1-Path, 2-Port VNA 측정이 포함되며, 사용자가 표준 VNA 파라미터 형식 또는 "필드 모드"로 알려진 보다 간단한 케이블 및 안테나 분석기 형식 중에서 선택할 수 있는 표준 사용자 선택 가능한 GUI 모드가 있습니다. 두 모드 모두 VNA 마스터 제품으로 잘 알려진 동일한 높은 수준의 측정 정밀도와 정확도를 제공합니다. 추가 옵션은 기능을 더욱 확장하여 VNA 마스터가 현장에서 훨씬 더 다재다능해지고 여러 계측기를 휴대할 필요가 없습니다.
현장의 RF 엔지니어와 기술자들은 전세계 항공 우주, 방위 및 일반 용도의 통신 시스템 분야에서 설치와 유지보수 지원을 제공합니다. 그러한 예로는 대개 해군 함정의 레이더, 군용 차량의 통신, 공군 및 민간 항공기의 비행 대기선 테스트 등이 있습니다. 이들 장치는 전세계적으로 무선 항법 시스템에서 VHF VOR(Omni-directional Range) 안테나를 지원합니다. 또한, 이 장치들은 안테나, 케이블, 필터, 멀티플렉서, 증폭기, 분리기, 서큘레이터, 스위치 및 기타 첨단 요소를 비롯하여 전체 시스템에서 고장을 일으킬 수 있는 광범위한 시스템 요소에 일상적으로 직면할 것입니다. 새로운 터치스크린 화면이 포함된 Compact VNA Master는 현장 진단 조건에서 가장 직관적으로 측정을 제어할 수 있도록 해줍니다.
VNA Master는 격벽과 칸막이를 관통해 지나가는 항공기 및 선상 유선 케이블 번들에서 결함 위치의 노후 문제라는 새로운 응용 분야와 같은 신기술 응용 분야에도 사용할 수 있습니다.
+스펙트럼 분석기(9kHz-6GHz)
테스트 사이트에서 시스템에는 첨단 송신기와 수신기가 포함되어 있어 올바른 성능을 위해 복잡한 송신기와 수신기(LO) 신호의 특성화가 필요합니다. 이 포괄적인 신호 테스트는 이미 VNA 테스트가 필요한 것 외에도 유지보수 기술자의 작업 복잡성을 증가시킵니다. 현장 중심의 스펙트럼 분석기는 이러한 작업을 크게 단순화할 수 있습니다. 스펙트럼 분석 데이터는 최대 6GHz까지의 레이더, 방위 산업용 전자기기 및 통신 시스템과 같은 마이크로파 시스템에 특히 중요합니다.
MS2035B VNA Master + Spectrum Analyzer는 강력한 VNA Master에 현장의 강력한 스펙트럼 진단 기능을 추가합니다! 소형 장치라고 해서 얕보지 마십시오. 이 강력한 결합형 기기는 스펙트럼 모니터링 단순화, 간섭 분석 및 현장에서의 기타 일반적인 용도의 신호 측정 시 벤치톱 대체 장치에 버금가는 성능과 기능을 제공합니다.
이러한 결합형 스펙트럼 분석기는 가장 정확한 데이터 표시를 위해 최대한 가장 빠른 속도에서 스위프를 최적화하는 내부 루틴과 같은 중요한 신기능을 제공합니다. 또한 이 제품은 폭넓은 스펙트럼 분석 주파수 범위, 상당한 동적 범위, 9kHz-6GHz의 우수한 위상 잡음 성능을 제공합니다.
The new PIM Hunting mode in the Spectrum Analyzer is used for locating external IM products in conjunction with the MW82119B PIM Master.
VNA Master + 스펙트럼 분석에는 전계 강도, 점유 대역폭, 채널 전력, 인접 채널 전력비, 반송파 대 간섭파(C/I) 비를 비롯한 많은 표준 측정 시퀀스가 포함되어 있습니다. 그 외에도, 내장형 AM/FM/SSB 복조기는 간섭 신호 식별 작업을 간편하게 해줍니다. 옵션 0509, AM/FM/PM 복조 분석 기능은 RF 변조 스펙트럼과 오디오 특성화 표시를 위한 강력한 계산 기능을 제공합니다. 옵션 0025, 간섭 분석기는 특히 공동 배치 신호 문제를 해결하는 데 매우 유용합니다. 종합적으로 볼 때 VNA Master + Spectrum Analyzer는 언제 어디서나 일반적인 용도의 분석을 수행할 수 있는 강력한 핸드헬드 도구입니다.






























MS2035B MS2035B ANRITSU ANRITSU MS2035B MS2035B 안리쓰 안리쓰 MS2035B MS2035B 안리츠 안리츠 MS2035B
가격이 궁금하신가요?
더 많은 자료는?


지니어스인더스트리가 취급하는 대부분의 제품은 사업자 간 거래(B2B) 목적의 산업·연구용 전문 계측 장비입니다.
모든 제품은 주문 제작 또는 해외/본사 주문을 통해 공급되고 있으며 실제 현장/시험 환경에서 사용되는 특성상, 일반 소비재와 달리 단순 변심 사유의 반품·환불이 어렵습니다. 장비 개봉, 전원 인가, 설치/시운전, 교정(캘리브레이션) 진행 등으로 제품의 신뢰도와 가치가 달라질 수 있기 때문입니다.
다만 초기 제품 하자(동일 모델 대비 명백한 불량, 운송 중 파손, 사양 상이 등)가 확인되는 경우에는 수령 후 [7일 이내] 연락 주시면 점검 후 조치 또는 A/S 절차를 안내해 드립니다.
단순 변심, 사양 선택 착오, 내부 사정(예: 예산/프로젝트 변경 등)과 같은 구매자 사유로 반품을 요청하시는 경우에는 반품이 제한되며, 예외적으로 협의가 진행될 경우에도 왕복 운송비, 검수 비용, 감가 비용 및 재입고 수수료 등이 청구될 수 있습니다.
구체적인 거래 조건(납기, A/S 범위, 교환 가능 여부 등)은 발행된 견적서, 발주서 확인 메일, 납품서 등에 명시된 내용을 우선합니다.
도움이 필요한 경우 견적서에 명시된 담당자에게 문의해 주세요.
안리쓰 ・ ANRITSU
MS2035B
VNA 마스터 + 스펙트럼분석기
MS2035B VNA Master + Spectrum Analyzer
합리적인 가격의 S-파라미터 경쟁력에서 터치스크린의 편리함
스펙트럼 분석기가 추가된 VNA 마스터 MS2035B는 크기가 작고 강력한 VNA 분야에서 높은 성능을 발휘합니다. 진정한 벡터 오류 수정 S-파라미터 데이터를 제공하는 이 분석기는 대형 고해상도(800 x 600) 터치 스크린 디스플레이와 함께 사용하기 쉽고 모델 및 옵션에 따라 VNA 측정 이상의 기능을 제공합니다. 업계 최고의 DANL 및 위상 노이즈 성능. 표준 기능에는 1-Path, 2-Port VNA 측정이 포함되며, 사용자가 표준 VNA 파라미터 형식 또는 "필드 모드"로 알려진 보다 간단한 케이블 및 안테나 분석기 형식 중에서 선택할 수 있는 표준 사용자 선택 가능한 GUI 모드가 있습니다. 두 모드 모두 VNA 마스터 제품으로 잘 알려진 동일한 높은 수준의 측정 정밀도와 정확도를 제공합니다. 추가 옵션은 기능을 더욱 확장하여 VNA 마스터가 현장에서 훨씬 더 다재다능해지고 여러 계측기를 휴대할 필요가 없습니다.
현장의 RF 엔지니어와 기술자들은 전세계 항공 우주, 방위 및 일반 용도의 통신 시스템 분야에서 설치와 유지보수 지원을 제공합니다. 그러한 예로는 대개 해군 함정의 레이더, 군용 차량의 통신, 공군 및 민간 항공기의 비행 대기선 테스트 등이 있습니다. 이들 장치는 전세계적으로 무선 항법 시스템에서 VHF VOR(Omni-directional Range) 안테나를 지원합니다. 또한, 이 장치들은 안테나, 케이블, 필터, 멀티플렉서, 증폭기, 분리기, 서큘레이터, 스위치 및 기타 첨단 요소를 비롯하여 전체 시스템에서 고장을 일으킬 수 있는 광범위한 시스템 요소에 일상적으로 직면할 것입니다. 새로운 터치스크린 화면이 포함된 Compact VNA Master는 현장 진단 조건에서 가장 직관적으로 측정을 제어할 수 있도록 해줍니다.
VNA Master는 격벽과 칸막이를 관통해 지나가는 항공기 및 선상 유선 케이블 번들에서 결함 위치의 노후 문제라는 새로운 응용 분야와 같은 신기술 응용 분야에도 사용할 수 있습니다.
+스펙트럼 분석기(9kHz-6GHz)
테스트 사이트에서 시스템에는 첨단 송신기와 수신기가 포함되어 있어 올바른 성능을 위해 복잡한 송신기와 수신기(LO) 신호의 특성화가 필요합니다. 이 포괄적인 신호 테스트는 이미 VNA 테스트가 필요한 것 외에도 유지보수 기술자의 작업 복잡성을 증가시킵니다. 현장 중심의 스펙트럼 분석기는 이러한 작업을 크게 단순화할 수 있습니다. 스펙트럼 분석 데이터는 최대 6GHz까지의 레이더, 방위 산업용 전자기기 및 통신 시스템과 같은 마이크로파 시스템에 특히 중요합니다.
MS2035B VNA Master + Spectrum Analyzer는 강력한 VNA Master에 현장의 강력한 스펙트럼 진단 기능을 추가합니다! 소형 장치라고 해서 얕보지 마십시오. 이 강력한 결합형 기기는 스펙트럼 모니터링 단순화, 간섭 분석 및 현장에서의 기타 일반적인 용도의 신호 측정 시 벤치톱 대체 장치에 버금가는 성능과 기능을 제공합니다.
이러한 결합형 스펙트럼 분석기는 가장 정확한 데이터 표시를 위해 최대한 가장 빠른 속도에서 스위프를 최적화하는 내부 루틴과 같은 중요한 신기능을 제공합니다. 또한 이 제품은 폭넓은 스펙트럼 분석 주파수 범위, 상당한 동적 범위, 9kHz-6GHz의 우수한 위상 잡음 성능을 제공합니다.
The new PIM Hunting mode in the Spectrum Analyzer is used for locating external IM products in conjunction with the MW82119B PIM Master.
VNA Master + 스펙트럼 분석에는 전계 강도, 점유 대역폭, 채널 전력, 인접 채널 전력비, 반송파 대 간섭파(C/I) 비를 비롯한 많은 표준 측정 시퀀스가 포함되어 있습니다. 그 외에도, 내장형 AM/FM/SSB 복조기는 간섭 신호 식별 작업을 간편하게 해줍니다. 옵션 0509, AM/FM/PM 복조 분석 기능은 RF 변조 스펙트럼과 오디오 특성화 표시를 위한 강력한 계산 기능을 제공합니다. 옵션 0025, 간섭 분석기는 특히 공동 배치 신호 문제를 해결하는 데 매우 유용합니다. 종합적으로 볼 때 VNA Master + Spectrum Analyzer는 언제 어디서나 일반적인 용도의 분석을 수행할 수 있는 강력한 핸드헬드 도구입니다.






























MS2035B MS2035B ANRITSU ANRITSU MS2035B MS2035B 안리쓰 안리쓰 MS2035B MS2035B 안리츠 안리츠 MS2035B
가격이 궁금하신가요?
더 많은 자료는?


지니어스인더스트리가 취급하는 대부분의 제품은 사업자 간 거래(B2B) 목적의 산업·연구용 전문 계측 장비입니다.
모든 제품은 주문 제작 또는 해외/본사 주문을 통해 공급되고 있으며 실제 현장/시험 환경에서 사용되는 특성상, 일반 소비재와 달리 단순 변심 사유의 반품·환불이 어렵습니다. 장비 개봉, 전원 인가, 설치/시운전, 교정(캘리브레이션) 진행 등으로 제품의 신뢰도와 가치가 달라질 수 있기 때문입니다.
다만 초기 제품 하자(동일 모델 대비 명백한 불량, 운송 중 파손, 사양 상이 등)가 확인되는 경우에는 수령 후 [7일 이내] 연락 주시면 점검 후 조치 또는 A/S 절차를 안내해 드립니다.
단순 변심, 사양 선택 착오, 내부 사정(예: 예산/프로젝트 변경 등)과 같은 구매자 사유로 반품을 요청하시는 경우에는 반품이 제한되며, 예외적으로 협의가 진행될 경우에도 왕복 운송비, 검수 비용, 감가 비용 및 재입고 수수료 등이 청구될 수 있습니다.
구체적인 거래 조건(납기, A/S 범위, 교환 가능 여부 등)은 발행된 견적서, 발주서 확인 메일, 납품서 등에 명시된 내용을 우선합니다.
도움이 필요한 경우 견적서에 명시된 담당자에게 문의해 주세요.
연관상품



