클릭 하시면 이동합니다.
안리쓰 ・ ANRITSU
MS2024B
VNA 마스터
MS2024B VNA Master
편리한 터치스크린 지원 경쟁 중인 합리적 가격의 S-매개 변수 가운데 최고의 제품: VNA Master
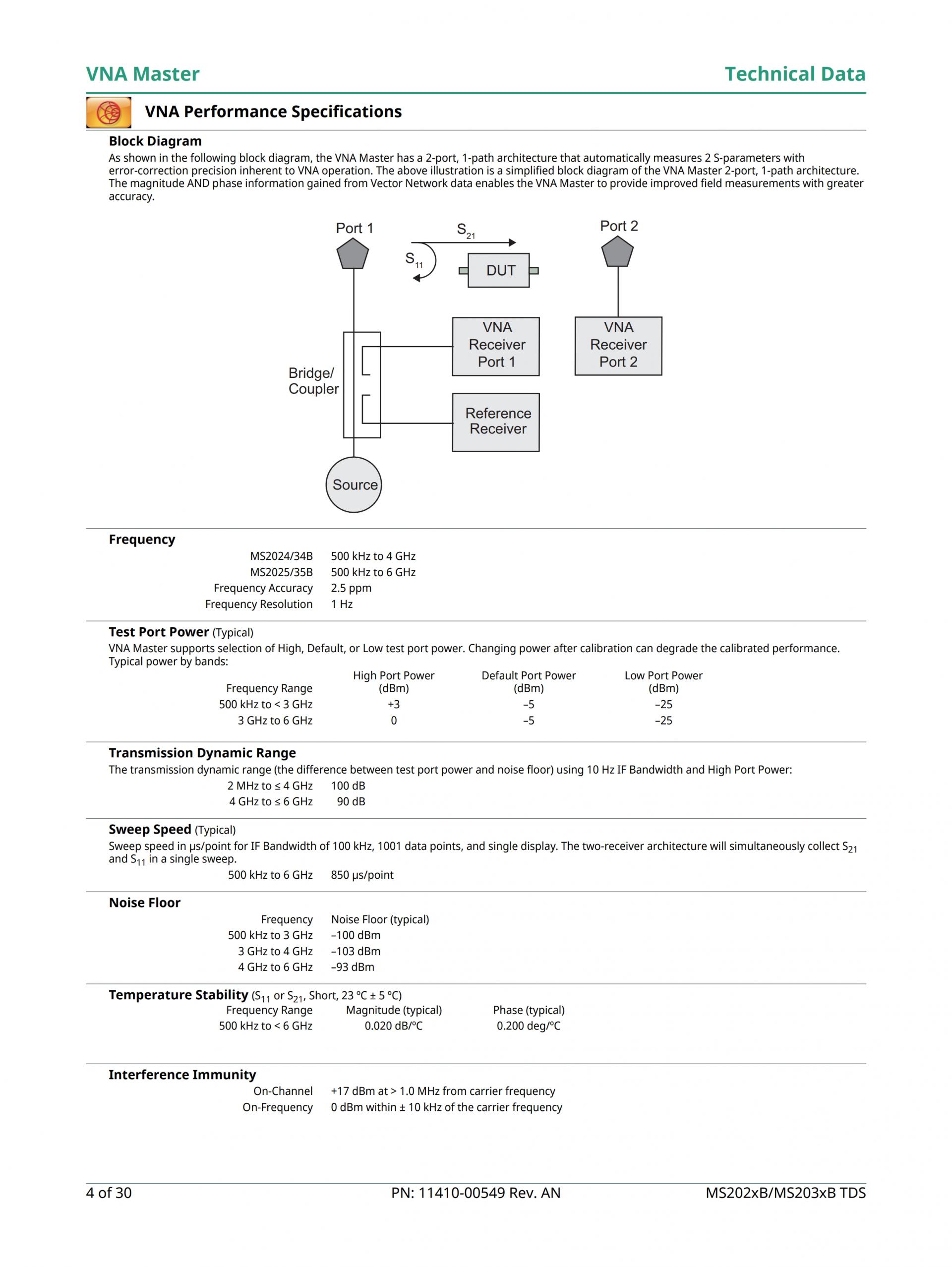
현대식 RF/마이크로파 시스템은 그 성능을 기술 한계까지 끌어올리고 있습니다. 설계자들은 구성 요소에 대해 보다 엄격한 규격을 작성하고 보다 견고한 신호 매개 변수를 정의합니다. 이러한 모든 이유로 현장 유지보수 담당 직원은 보다 정확하면서도 경제적인 핸드헬드 테스트 장비를 구하려고 노력하고 있습니다. Anritsu는 업계에서 가장 경제적인 동시에 포괄적인 솔루션인 MS2024B VNA Master(500kHz-4GHz)를 출시합니다. 이 제품은 벡터 네트워크 분석기(VPN), 전력계, 벡터 전압계 기능을 모두 포함하고 있습니다.VNA Master를 "S-매개 변수의 스위스 아미 나이프"로 생각하기 쉽습니다. 그러나 이것은 잘못된 생각입니다. 왜냐하면 스위스 아미 나이프는 다양한 기능을 하지만, 한 가지도 제대로 해내지 못하기 때문입니다. 반면에 VNA Master는 다양한 측정을 매우 잘 수행합니다. 오류 정정 VNA 기술은 현장 S-매개 변수에 대한 높은 정확도를 지원하고, 외부 전력 센서는 송신 전력을 정확하게 측정하며, 벡터 전압계 옵션은 높은 정밀도로 케이블 위상 정합을 제공합니다.
현장의 RF 엔지니어와 기술자들은 전세계 항공 우주, 방위 및 일반 용도의 통신 시스템 분야에서 설치와 유지보수 지원을 제공합니다. 그러한 예로는 대개 해군 함정의 레이더, 군용 차량의 통신, 공군 및 민간 항공기의 비행 대기선 테스트 등이 있습니다. 이들 장치는 전세계적으로 무선 항법 시스템에서 VHF VOR(Omni-directional Range) 안테나를 지원합니다. 또한, 이 장치들은 안테나, 케이블, 필터, 멀티플렉서, 증폭기, 분리기, 서큘레이터, 스위치 및 기타 첨단 요소를 비롯하여 전체 시스템에서 고장을 일으킬 수 있는 광범위한 시스템 요소에 일상적으로 직면할 것입니다. 새로운 터치스크린 화면이 포함된 VNA Master는 현장 진단 조건에서 가장 직관적으로 측정을 제어할 수 있도록 해줍니다.
VNA Master는 격벽과 칸막이를 관통해 지나가는 항공기 및 선상 유선 케이블 번들에서 결함 위치의 탐지 같은 응용 분야에도 사용할 수 있습니다.
VNA Master(500kHz-4GHz)
- 2-포트, 1-경로 VNA(Vector Network Analyzer)
- 편리한 터치스크린이 있는 직관적인 그래픽 사용자 인터페이스(GUI)
- 우수한 보정 안정성
- 여러 S-매개 변수를 볼 수 있도록 사용자 정의된 오버레이
- 우수한 RF 내성
- 10Hz-100kHz의 IF 대역폭 선택
- 100dB 송신 동적 범위
- 850µs/data point의 스위프 속도
- 내부 바이어스 티 옵션
- 벡터 전압계 옵션, 케이블 위상 정합에 이상적
- 기본 3년 무상보증 제공 (배터리는 1년 무상보증)






























MS2035B MS2035B ANRITSU ANRITSU MS2035B MS2035B 안리쓰 안리쓰 MS2035B MS2035B 안리츠 안리츠 MS2035B MS2034B MS2034B ANRITSU ANRITSU MS2034B MS2034B 안리쓰 안리쓰 MS2034B MS2034B 안리츠 안리츠 MS2034B MS2025B MS2025B ANRITSU ANRITSU MS2025B MS2025B 안리쓰 안리쓰 MS2025B MS2025B 안리츠 안리츠MS2025B MS2024B MS2024B ANRITSU ANRITSU MS2024B MS2024B 안리쓰 안리쓰 MS2024B MS2024B 안리츠 안리츠 MS2024B
가격이 궁금하신가요?
더 많은 자료는?


지니어스인더스트리가 취급하는 대부분의 제품은 사업자 간 거래(B2B) 목적의 산업·연구용 전문 계측 장비입니다.
모든 제품은 주문 제작 또는 해외/본사 주문을 통해 공급되고 있으며 실제 현장/시험 환경에서 사용되는 특성상, 일반 소비재와 달리 단순 변심 사유의 반품·환불이 어렵습니다. 장비 개봉, 전원 인가, 설치/시운전, 교정(캘리브레이션) 진행 등으로 제품의 신뢰도와 가치가 달라질 수 있기 때문입니다.
다만 초기 제품 하자(동일 모델 대비 명백한 불량, 운송 중 파손, 사양 상이 등)가 확인되는 경우에는 수령 후 [7일 이내] 연락 주시면 점검 후 조치 또는 A/S 절차를 안내해 드립니다.
단순 변심, 사양 선택 착오, 내부 사정(예: 예산/프로젝트 변경 등)과 같은 구매자 사유로 반품을 요청하시는 경우에는 반품이 제한되며, 예외적으로 협의가 진행될 경우에도 왕복 운송비, 검수 비용, 감가 비용 및 재입고 수수료 등이 청구될 수 있습니다.
구체적인 거래 조건(납기, A/S 범위, 교환 가능 여부 등)은 발행된 견적서, 발주서 확인 메일, 납품서 등에 명시된 내용을 우선합니다.
도움이 필요한 경우 견적서에 명시된 담당자에게 문의해 주세요.
안리쓰 ・ ANRITSU
MS2024B
VNA 마스터
MS2024B VNA Master
편리한 터치스크린 지원 경쟁 중인 합리적 가격의 S-매개 변수 가운데 최고의 제품: VNA Master
현대식 RF/마이크로파 시스템은 그 성능을 기술 한계까지 끌어올리고 있습니다. 설계자들은 구성 요소에 대해 보다 엄격한 규격을 작성하고 보다 견고한 신호 매개 변수를 정의합니다. 이러한 모든 이유로 현장 유지보수 담당 직원은 보다 정확하면서도 경제적인 핸드헬드 테스트 장비를 구하려고 노력하고 있습니다. Anritsu는 업계에서 가장 경제적인 동시에 포괄적인 솔루션인 MS2024B VNA Master(500kHz-4GHz)를 출시합니다. 이 제품은 벡터 네트워크 분석기(VPN), 전력계, 벡터 전압계 기능을 모두 포함하고 있습니다.VNA Master를 "S-매개 변수의 스위스 아미 나이프"로 생각하기 쉽습니다. 그러나 이것은 잘못된 생각입니다. 왜냐하면 스위스 아미 나이프는 다양한 기능을 하지만, 한 가지도 제대로 해내지 못하기 때문입니다. 반면에 VNA Master는 다양한 측정을 매우 잘 수행합니다. 오류 정정 VNA 기술은 현장 S-매개 변수에 대한 높은 정확도를 지원하고, 외부 전력 센서는 송신 전력을 정확하게 측정하며, 벡터 전압계 옵션은 높은 정밀도로 케이블 위상 정합을 제공합니다.
현장의 RF 엔지니어와 기술자들은 전세계 항공 우주, 방위 및 일반 용도의 통신 시스템 분야에서 설치와 유지보수 지원을 제공합니다. 그러한 예로는 대개 해군 함정의 레이더, 군용 차량의 통신, 공군 및 민간 항공기의 비행 대기선 테스트 등이 있습니다. 이들 장치는 전세계적으로 무선 항법 시스템에서 VHF VOR(Omni-directional Range) 안테나를 지원합니다. 또한, 이 장치들은 안테나, 케이블, 필터, 멀티플렉서, 증폭기, 분리기, 서큘레이터, 스위치 및 기타 첨단 요소를 비롯하여 전체 시스템에서 고장을 일으킬 수 있는 광범위한 시스템 요소에 일상적으로 직면할 것입니다. 새로운 터치스크린 화면이 포함된 VNA Master는 현장 진단 조건에서 가장 직관적으로 측정을 제어할 수 있도록 해줍니다.
VNA Master는 격벽과 칸막이를 관통해 지나가는 항공기 및 선상 유선 케이블 번들에서 결함 위치의 탐지 같은 응용 분야에도 사용할 수 있습니다.
VNA Master(500kHz-4GHz)
- 2-포트, 1-경로 VNA(Vector Network Analyzer)
- 편리한 터치스크린이 있는 직관적인 그래픽 사용자 인터페이스(GUI)
- 우수한 보정 안정성
- 여러 S-매개 변수를 볼 수 있도록 사용자 정의된 오버레이
- 우수한 RF 내성
- 10Hz-100kHz의 IF 대역폭 선택
- 100dB 송신 동적 범위
- 850µs/data point의 스위프 속도
- 내부 바이어스 티 옵션
- 벡터 전압계 옵션, 케이블 위상 정합에 이상적
- 기본 3년 무상보증 제공 (배터리는 1년 무상보증)






























MS2035B MS2035B ANRITSU ANRITSU MS2035B MS2035B 안리쓰 안리쓰 MS2035B MS2035B 안리츠 안리츠 MS2035B MS2034B MS2034B ANRITSU ANRITSU MS2034B MS2034B 안리쓰 안리쓰 MS2034B MS2034B 안리츠 안리츠 MS2034B MS2025B MS2025B ANRITSU ANRITSU MS2025B MS2025B 안리쓰 안리쓰 MS2025B MS2025B 안리츠 안리츠MS2025B MS2024B MS2024B ANRITSU ANRITSU MS2024B MS2024B 안리쓰 안리쓰 MS2024B MS2024B 안리츠 안리츠 MS2024B
가격이 궁금하신가요?
더 많은 자료는?


지니어스인더스트리가 취급하는 대부분의 제품은 사업자 간 거래(B2B) 목적의 산업·연구용 전문 계측 장비입니다.
모든 제품은 주문 제작 또는 해외/본사 주문을 통해 공급되고 있으며 실제 현장/시험 환경에서 사용되는 특성상, 일반 소비재와 달리 단순 변심 사유의 반품·환불이 어렵습니다. 장비 개봉, 전원 인가, 설치/시운전, 교정(캘리브레이션) 진행 등으로 제품의 신뢰도와 가치가 달라질 수 있기 때문입니다.
다만 초기 제품 하자(동일 모델 대비 명백한 불량, 운송 중 파손, 사양 상이 등)가 확인되는 경우에는 수령 후 [7일 이내] 연락 주시면 점검 후 조치 또는 A/S 절차를 안내해 드립니다.
단순 변심, 사양 선택 착오, 내부 사정(예: 예산/프로젝트 변경 등)과 같은 구매자 사유로 반품을 요청하시는 경우에는 반품이 제한되며, 예외적으로 협의가 진행될 경우에도 왕복 운송비, 검수 비용, 감가 비용 및 재입고 수수료 등이 청구될 수 있습니다.
구체적인 거래 조건(납기, A/S 범위, 교환 가능 여부 등)은 발행된 견적서, 발주서 확인 메일, 납품서 등에 명시된 내용을 우선합니다.
도움이 필요한 경우 견적서에 명시된 담당자에게 문의해 주세요.
연관상품



