클릭 하시면 이동합니다.
안리쓰 ・ ANRITSU
MG3690C
RF/마이크로파 신호 발생기
MG3690C RF/Microwave Signal Generators
MG3690C 시리즈 광대역 신호 발생기는 외부 배율기(External multipliers)를 사용하여 단일 동축 출력(Single coaxial output)에서 0.1 Hz ~ 70 GHz의 오디오, HF, VHF, UHF, 마이크로파 주파수 및 최대 500 GHz 이상을 처리합니다. 또한, 직관적인 전면 패널 제어를 통해서 또는 GPIB/이더넷 연결을 통해 원격으로 쉽게 작동할 수 있습니다. 따라서 MG3690C 시리즈는 RF 및 마이크로웨이브 요구 사항 모두에 이상적인 신호 소스이며 심플한 애플리케이션부터 고성능까지 완벽하게 구성할 수 있습니다.
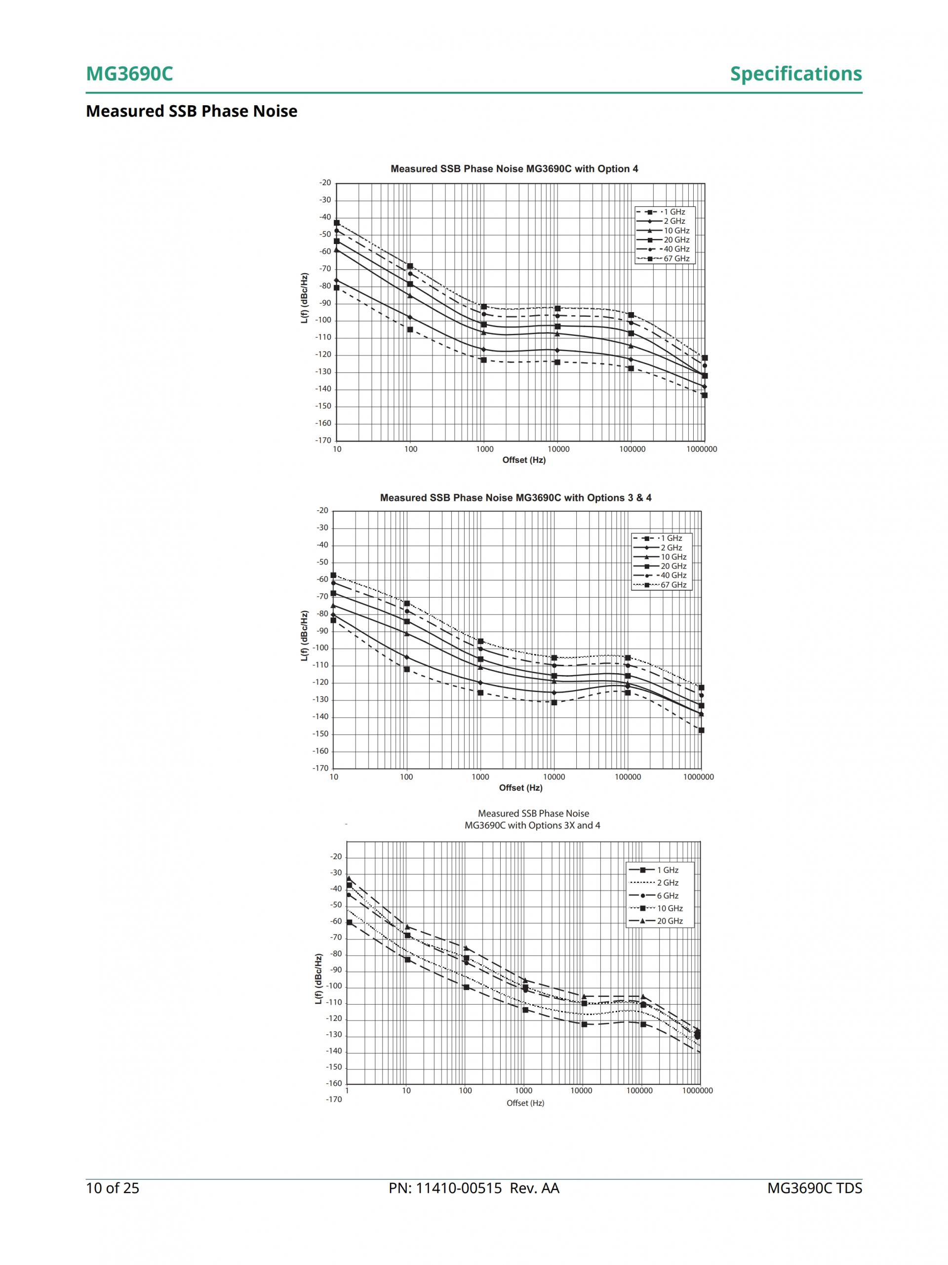
MG3690C는 세 가지 레벨의 SSB 위상잡음(Phase noise) 성능을 제공합니다. 세 가지는 표준, 초저 위상잡음(옵션 3) 및 프리미엄 위상잡음(옵션 3X)과 같습니다. 또한, MG3690C는 AM, FM, 위상(Phase) 및 펄스(Pulse)를 포함한 전체 변조(Modulation) 기능 제품군을 옵션으로 제공하여 단순한 신호 시물레이션 요구 사항부터 복잡한 것까지 해결합니다.

























MG3690C MG3690C ANRITSU ANRITSU MG3690C MG3690C 안리쓰 안리쓰 MG3690C MG3690C 안리츠 안리츠 MG3690C
가격이 궁금하신가요?
더 많은 자료는?


지니어스인더스트리가 취급하는 대부분의 제품은 사업자 간 거래(B2B) 목적의 산업·연구용 전문 계측 장비입니다.
모든 제품은 주문 제작 또는 해외/본사 주문을 통해 공급되고 있으며 실제 현장/시험 환경에서 사용되는 특성상, 일반 소비재와 달리 단순 변심 사유의 반품·환불이 어렵습니다. 장비 개봉, 전원 인가, 설치/시운전, 교정(캘리브레이션) 진행 등으로 제품의 신뢰도와 가치가 달라질 수 있기 때문입니다.
다만 초기 제품 하자(동일 모델 대비 명백한 불량, 운송 중 파손, 사양 상이 등)가 확인되는 경우에는 수령 후 [7일 이내] 연락 주시면 점검 후 조치 또는 A/S 절차를 안내해 드립니다.
단순 변심, 사양 선택 착오, 내부 사정(예: 예산/프로젝트 변경 등)과 같은 구매자 사유로 반품을 요청하시는 경우에는 반품이 제한되며, 예외적으로 협의가 진행될 경우에도 왕복 운송비, 검수 비용, 감가 비용 및 재입고 수수료 등이 청구될 수 있습니다.
구체적인 거래 조건(납기, A/S 범위, 교환 가능 여부 등)은 발행된 견적서, 발주서 확인 메일, 납품서 등에 명시된 내용을 우선합니다.
도움이 필요한 경우 견적서에 명시된 담당자에게 문의해 주세요.
안리쓰 ・ ANRITSU
MG3690C
RF/마이크로파 신호 발생기
MG3690C RF/Microwave Signal Generators
MG3690C 시리즈 광대역 신호 발생기는 외부 배율기(External multipliers)를 사용하여 단일 동축 출력(Single coaxial output)에서 0.1 Hz ~ 70 GHz의 오디오, HF, VHF, UHF, 마이크로파 주파수 및 최대 500 GHz 이상을 처리합니다. 또한, 직관적인 전면 패널 제어를 통해서 또는 GPIB/이더넷 연결을 통해 원격으로 쉽게 작동할 수 있습니다. 따라서 MG3690C 시리즈는 RF 및 마이크로웨이브 요구 사항 모두에 이상적인 신호 소스이며 심플한 애플리케이션부터 고성능까지 완벽하게 구성할 수 있습니다.
MG3690C는 세 가지 레벨의 SSB 위상잡음(Phase noise) 성능을 제공합니다. 세 가지는 표준, 초저 위상잡음(옵션 3) 및 프리미엄 위상잡음(옵션 3X)과 같습니다. 또한, MG3690C는 AM, FM, 위상(Phase) 및 펄스(Pulse)를 포함한 전체 변조(Modulation) 기능 제품군을 옵션으로 제공하여 단순한 신호 시물레이션 요구 사항부터 복잡한 것까지 해결합니다.

























MG3690C MG3690C ANRITSU ANRITSU MG3690C MG3690C 안리쓰 안리쓰 MG3690C MG3690C 안리츠 안리츠 MG3690C
가격이 궁금하신가요?
더 많은 자료는?


지니어스인더스트리가 취급하는 대부분의 제품은 사업자 간 거래(B2B) 목적의 산업·연구용 전문 계측 장비입니다.
모든 제품은 주문 제작 또는 해외/본사 주문을 통해 공급되고 있으며 실제 현장/시험 환경에서 사용되는 특성상, 일반 소비재와 달리 단순 변심 사유의 반품·환불이 어렵습니다. 장비 개봉, 전원 인가, 설치/시운전, 교정(캘리브레이션) 진행 등으로 제품의 신뢰도와 가치가 달라질 수 있기 때문입니다.
다만 초기 제품 하자(동일 모델 대비 명백한 불량, 운송 중 파손, 사양 상이 등)가 확인되는 경우에는 수령 후 [7일 이내] 연락 주시면 점검 후 조치 또는 A/S 절차를 안내해 드립니다.
단순 변심, 사양 선택 착오, 내부 사정(예: 예산/프로젝트 변경 등)과 같은 구매자 사유로 반품을 요청하시는 경우에는 반품이 제한되며, 예외적으로 협의가 진행될 경우에도 왕복 운송비, 검수 비용, 감가 비용 및 재입고 수수료 등이 청구될 수 있습니다.
구체적인 거래 조건(납기, A/S 범위, 교환 가능 여부 등)은 발행된 견적서, 발주서 확인 메일, 납품서 등에 명시된 내용을 우선합니다.
도움이 필요한 경우 견적서에 명시된 담당자에게 문의해 주세요.
연관상품



