클릭 하시면 이동합니다.
안리쓰 ・ ANRITSU
MT8872A
범용 무선 테스트세트
MT8872A Universal Wireless Test Set
공간 절약형 디자인으로 최신 무선 기술(5G Sub-6 GHz/802.11ax/be 등)에 대한 적시 지원
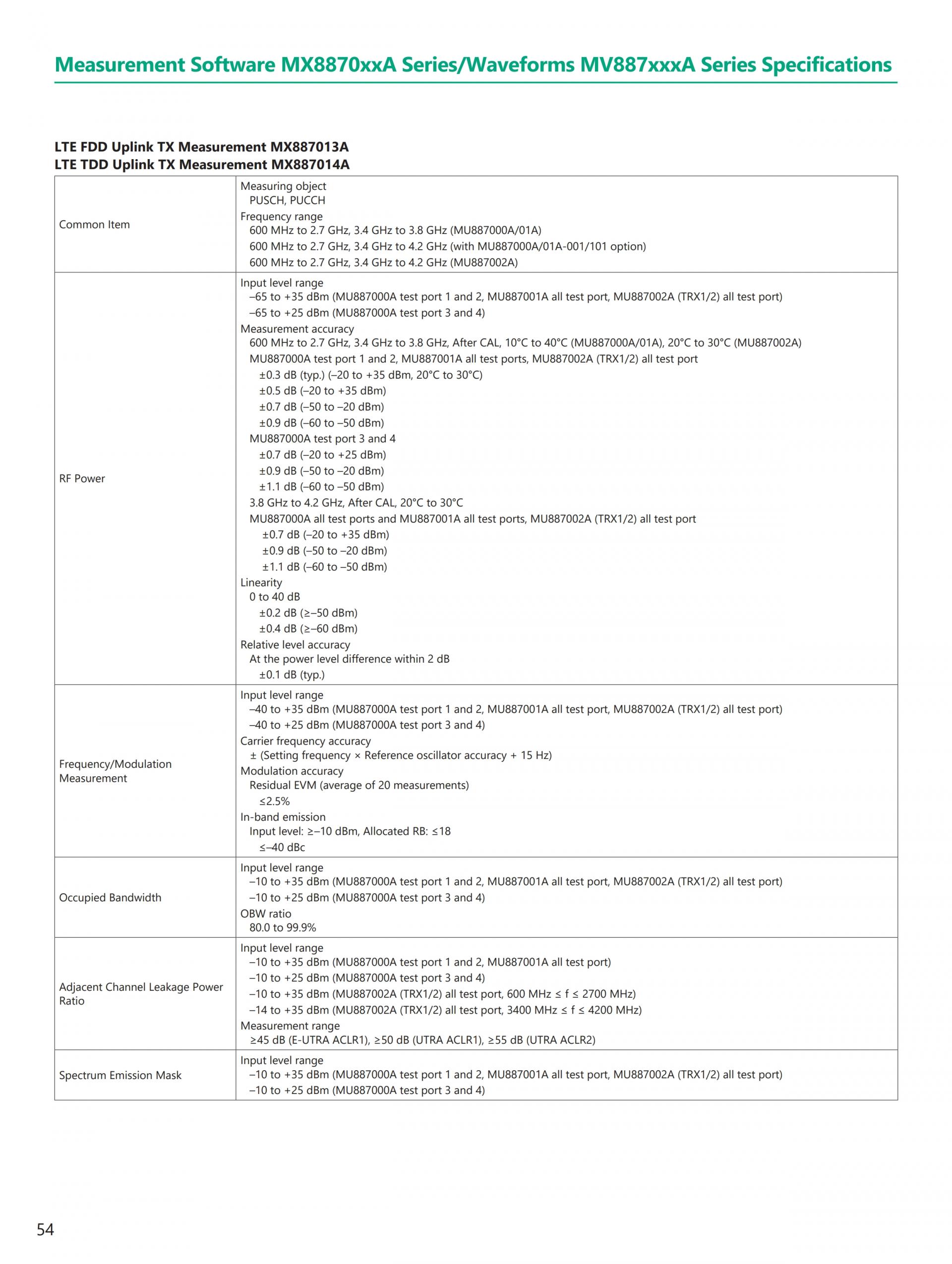
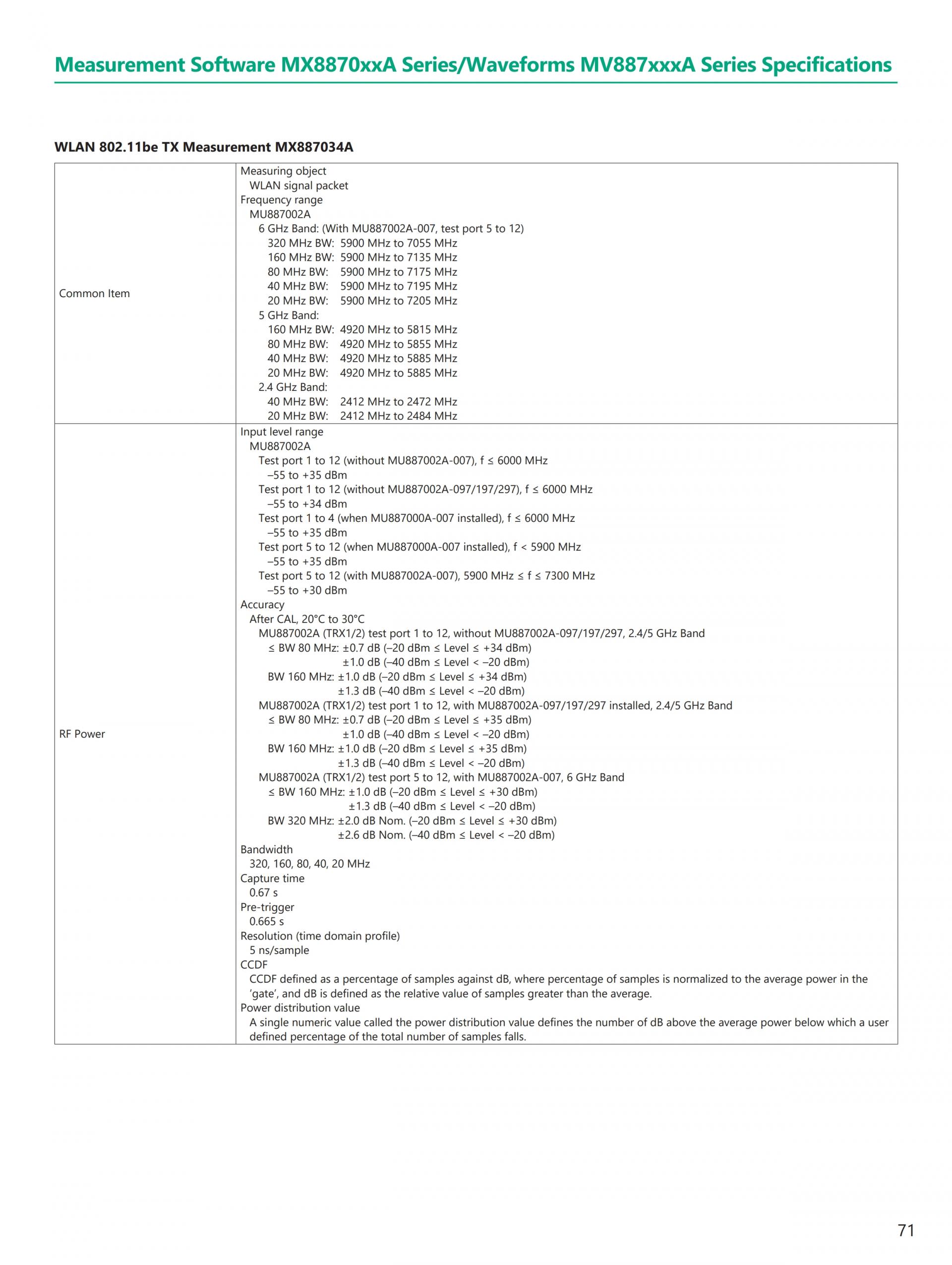
범용 무선 테스트 세트 MT8872A는 5G NR Sub-6 GHz, LTE/LTE-Advanced, LTE-V2X, NB-IoT, Cat-M, V2X 802.11p, WLAN, Bluetooth 등 다양한 무선 통신 표준을 지원하여 스마트폰, 자동차 및 IoT 단말기, 통신 모듈의 양산 라인에서 테스트할 수 있습니다. MT8872A 본체에는 세 가지 유형의 MU887000A/MU887001A/MU887002A TRx 테스트 모듈을 장착할 수 있으며, 각 모듈에는 모바일 단말기 및 통신 모듈의 송수신 테스트를 위한 벡터 신호 발생기와 벡터 신호 분석기가 내장되어 있습니다.
- 하나의 플랫폼에 두 명의 테스터가 있습니다
- 하나의 메인 프레임에 최대 두 개의 측정 모듈을 설치할 수 있으며, 각 모듈은 독립적으로 제어할 수 있습니다. 각 모듈은 동일한 전원 공급 장치, 섀시 및 내부 버스 인터페이스를 공유하여 인프라 비용을 절감하는 데 도움이 됩니다.
- 최대 12개 장치 안테나 직접 연결로 두 장치 동시 측정
- MT8872A 메인 유닛에 두 대의 테스트 유닛을 설치하면 최대 두 대의 연결된 테스트 대상 장치를 동시에 병렬로 측정할 수 있습니다. 무선 통신 기기의 안테나 수가 증가함에 따라 더욱 다양한 무선 통신 방식이 가능해짐에 따라, 설치된 MU887002A 테스트 유닛 하나당 최대 12개의 안테나 연결을 지원하여 테스트 설정을 크게 간소화합니다.

- 200MHz 표준 대역폭
- MT8872A에 설치된 MU887000A/MU887001A 테스트 유닛의 대역폭은 160MHz이고, MU887002A의 대역폭은 200MHz로, 5G NR Sub-6GHz와 WLAN 802.11ax TRx 테스트는 물론 향후 5G NR Sub-6GHz 2CC TRx 테스트도 지원합니다.
- 다양한 무선 표준 지원
- MT8872A는 5G, LTE/LTE-Advanced, V2X, WLAN 및 Bluetooth®와 같은 다양한 무선 통신 시스템의 TX 전력을 측정하고 전송 변조 정확도의 TX 테스트, RX 감도의 RX 테스트 등을 수행하기 위한 올인원 세트입니다.
- 지원 표준: 5G NR sub-6 GHz, LTE/LTE-Advanced, LTE-V2X, NB-IoT, Cat-M, W-CDMA/HSPA, TD-SCDMA, GSM/EDGE, CDAM2000/1xEV-DO, WLAN 802.11b/g/a/n/ac/ax/p (DSRC V2X)/be, Bluetooth, ZigBee, Z-Wave, FM/RDS, GPS/Galileo/GLONASS/BeiDou/QZSS, DVB-H, ISDB-T/ISDB-Tmm

- 아날로그와 디지털 모노 및 스테레오 오디오를 위한 내장 오디오 분석기와 생성기를 탑재한 MU887000A와 MU887001A 테스트 유닛은 MT8872A에 설치되어 통신 모듈 생산 라인의 공간을 절약할 뿐만 아니라 측정 효율성을 높여 라인 처리량을 향상시킵니다.

Bluetooth® 워드 마크와 로고는 Bluetooth SIG, Inc.가 소유한 등록 상표이며, Anritsu는 라이선스를 받아 이러한 마크를 사용합니다.
범용 무선 테스트 세트 MT8872A
- 대량 스마트폰, 태블릿, 자동차, IoT 장치 및 무선 모듈 제조 테스트 애플리케이션용으로 설계되었습니다.
- WLAN, 셀룰러, Bluetooth 및 기타 연결 무선 애플리케이션을 지원합니다.
- 하나의 작은 섀시에 2개의 고성능 모듈 탑재
- 다양한 무선 표준의 동시 측정 지원
- 하나의 라이선스로 설치된 모든 모듈에서 관련 기능을 사용할 수 있습니다.
TRX 테스트 모듈 MU887000A/MU887001A
- 내장형 신호 발생기 및 신호 분석기
- 160MHz의 넓은 측정 대역폭
- 10MHz ~ 6GHz의 넓은 주파수 범위
- 여러 무선 표준을 지원하는 하나의 모듈
- 지원 표준: 5G NR sub-6 GHz,
- LTE/LTE-Advanced, LTE-V2X, NB-IoT, Cat-M, W-CDMA/HSPA, TD-SCDMA, GSM/EDGE, CDAM2000/1xEV-DO,
- WLAN 802.11b/g/a/n/ac/ax/p(DSRC V2X), 블루투스, ZigBee, Z-Wave, FM/RDS, GPS/Galileo/GLONASS/BeiDou/QZSS, DVB-H, ISDB-T/ISDB-Tmm
- 내장 오디오 분석기/오디오 생성기
TRx 테스트 모듈 MU887002A
- 하나의 모듈에 내장된 두 개의 독립적으로 제어되는 테스트 장치, 각각 신호 생성기 및 신호 분석기 포함
- 외부 분배기 없이 동일한 신호 DUT 연결을 동시에 출력할 수 있는 내장 기능이 있는 각 테스트 유닛에 12개의 커넥터가 있습니다.
- 외부 PC에 의존하지 않고도 빠른 측정을 위한 CPU가 내장된 각 테스트 장치
- 400MHz에서 6GHz까지 넓은 주파수 범위를 포괄하는 200MHz 분석 대역폭; MU887002A-007 하드웨어 옵션을 설치하면 상위 주파수 범위가 7.3GHz로 확장됩니다.
- 변조된 신호에 대해서도 최대 출력 레벨은 0 dBm입니다. (신호 품질은 주파수와 파형에 따라 달라집니다.)
- 각 테스트 유닛은 여러 무선 통신 표준을 지원합니다.
- 지원 표준: 5G NR Sub-6 GHz, LTE/LTE-Advanced, W-CDMA/HSP, TD-SCDMA, GSM/EDGE, CDMA2000/1xEV-DO 등.
- WLAN 802.11b/g/a/n/ac/ax/p (DSRC V2X)/be, Bluetooth, GPS/Galileo/GLONASS/BeiDou/DVB-H 등.
























































































가격이 궁금하신가요?
더 많은 자료는?


지니어스인더스트리가 취급하는 대부분의 제품은 사업자 간 거래(B2B) 목적의 산업·연구용 전문 계측 장비입니다.
모든 제품은 주문 제작 또는 해외/본사 주문을 통해 공급되고 있으며 실제 현장/시험 환경에서 사용되는 특성상, 일반 소비재와 달리 단순 변심 사유의 반품·환불이 어렵습니다. 장비 개봉, 전원 인가, 설치/시운전, 교정(캘리브레이션) 진행 등으로 제품의 신뢰도와 가치가 달라질 수 있기 때문입니다.
다만 초기 제품 하자(동일 모델 대비 명백한 불량, 운송 중 파손, 사양 상이 등)가 확인되는 경우에는 수령 후 [7일 이내] 연락 주시면 점검 후 조치 또는 A/S 절차를 안내해 드립니다.
단순 변심, 사양 선택 착오, 내부 사정(예: 예산/프로젝트 변경 등)과 같은 구매자 사유로 반품을 요청하시는 경우에는 반품이 제한되며, 예외적으로 협의가 진행될 경우에도 왕복 운송비, 검수 비용, 감가 비용 및 재입고 수수료 등이 청구될 수 있습니다.
구체적인 거래 조건(납기, A/S 범위, 교환 가능 여부 등)은 발행된 견적서, 발주서 확인 메일, 납품서 등에 명시된 내용을 우선합니다.
도움이 필요한 경우 견적서에 명시된 담당자에게 문의해 주세요.
안리쓰 ・ ANRITSU
MT8872A
범용 무선 테스트세트
MT8872A Universal Wireless Test Set
공간 절약형 디자인으로 최신 무선 기술(5G Sub-6 GHz/802.11ax/be 등)에 대한 적시 지원
범용 무선 테스트 세트 MT8872A는 5G NR Sub-6 GHz, LTE/LTE-Advanced, LTE-V2X, NB-IoT, Cat-M, V2X 802.11p, WLAN, Bluetooth 등 다양한 무선 통신 표준을 지원하여 스마트폰, 자동차 및 IoT 단말기, 통신 모듈의 양산 라인에서 테스트할 수 있습니다. MT8872A 본체에는 세 가지 유형의 MU887000A/MU887001A/MU887002A TRx 테스트 모듈을 장착할 수 있으며, 각 모듈에는 모바일 단말기 및 통신 모듈의 송수신 테스트를 위한 벡터 신호 발생기와 벡터 신호 분석기가 내장되어 있습니다.
- 하나의 플랫폼에 두 명의 테스터가 있습니다
- 하나의 메인 프레임에 최대 두 개의 측정 모듈을 설치할 수 있으며, 각 모듈은 독립적으로 제어할 수 있습니다. 각 모듈은 동일한 전원 공급 장치, 섀시 및 내부 버스 인터페이스를 공유하여 인프라 비용을 절감하는 데 도움이 됩니다.
- 최대 12개 장치 안테나 직접 연결로 두 장치 동시 측정
- MT8872A 메인 유닛에 두 대의 테스트 유닛을 설치하면 최대 두 대의 연결된 테스트 대상 장치를 동시에 병렬로 측정할 수 있습니다. 무선 통신 기기의 안테나 수가 증가함에 따라 더욱 다양한 무선 통신 방식이 가능해짐에 따라, 설치된 MU887002A 테스트 유닛 하나당 최대 12개의 안테나 연결을 지원하여 테스트 설정을 크게 간소화합니다.

- 200MHz 표준 대역폭
- MT8872A에 설치된 MU887000A/MU887001A 테스트 유닛의 대역폭은 160MHz이고, MU887002A의 대역폭은 200MHz로, 5G NR Sub-6GHz와 WLAN 802.11ax TRx 테스트는 물론 향후 5G NR Sub-6GHz 2CC TRx 테스트도 지원합니다.
- 다양한 무선 표준 지원
- MT8872A는 5G, LTE/LTE-Advanced, V2X, WLAN 및 Bluetooth®와 같은 다양한 무선 통신 시스템의 TX 전력을 측정하고 전송 변조 정확도의 TX 테스트, RX 감도의 RX 테스트 등을 수행하기 위한 올인원 세트입니다.
- 지원 표준: 5G NR sub-6 GHz, LTE/LTE-Advanced, LTE-V2X, NB-IoT, Cat-M, W-CDMA/HSPA, TD-SCDMA, GSM/EDGE, CDAM2000/1xEV-DO, WLAN 802.11b/g/a/n/ac/ax/p (DSRC V2X)/be, Bluetooth, ZigBee, Z-Wave, FM/RDS, GPS/Galileo/GLONASS/BeiDou/QZSS, DVB-H, ISDB-T/ISDB-Tmm

- 아날로그와 디지털 모노 및 스테레오 오디오를 위한 내장 오디오 분석기와 생성기를 탑재한 MU887000A와 MU887001A 테스트 유닛은 MT8872A에 설치되어 통신 모듈 생산 라인의 공간을 절약할 뿐만 아니라 측정 효율성을 높여 라인 처리량을 향상시킵니다.

Bluetooth® 워드 마크와 로고는 Bluetooth SIG, Inc.가 소유한 등록 상표이며, Anritsu는 라이선스를 받아 이러한 마크를 사용합니다.
범용 무선 테스트 세트 MT8872A
- 대량 스마트폰, 태블릿, 자동차, IoT 장치 및 무선 모듈 제조 테스트 애플리케이션용으로 설계되었습니다.
- WLAN, 셀룰러, Bluetooth 및 기타 연결 무선 애플리케이션을 지원합니다.
- 하나의 작은 섀시에 2개의 고성능 모듈 탑재
- 다양한 무선 표준의 동시 측정 지원
- 하나의 라이선스로 설치된 모든 모듈에서 관련 기능을 사용할 수 있습니다.
TRX 테스트 모듈 MU887000A/MU887001A
- 내장형 신호 발생기 및 신호 분석기
- 160MHz의 넓은 측정 대역폭
- 10MHz ~ 6GHz의 넓은 주파수 범위
- 여러 무선 표준을 지원하는 하나의 모듈
- 지원 표준: 5G NR sub-6 GHz,
- LTE/LTE-Advanced, LTE-V2X, NB-IoT, Cat-M, W-CDMA/HSPA, TD-SCDMA, GSM/EDGE, CDAM2000/1xEV-DO,
- WLAN 802.11b/g/a/n/ac/ax/p(DSRC V2X), 블루투스, ZigBee, Z-Wave, FM/RDS, GPS/Galileo/GLONASS/BeiDou/QZSS, DVB-H, ISDB-T/ISDB-Tmm
- 내장 오디오 분석기/오디오 생성기
TRx 테스트 모듈 MU887002A
- 하나의 모듈에 내장된 두 개의 독립적으로 제어되는 테스트 장치, 각각 신호 생성기 및 신호 분석기 포함
- 외부 분배기 없이 동일한 신호 DUT 연결을 동시에 출력할 수 있는 내장 기능이 있는 각 테스트 유닛에 12개의 커넥터가 있습니다.
- 외부 PC에 의존하지 않고도 빠른 측정을 위한 CPU가 내장된 각 테스트 장치
- 400MHz에서 6GHz까지 넓은 주파수 범위를 포괄하는 200MHz 분석 대역폭; MU887002A-007 하드웨어 옵션을 설치하면 상위 주파수 범위가 7.3GHz로 확장됩니다.
- 변조된 신호에 대해서도 최대 출력 레벨은 0 dBm입니다. (신호 품질은 주파수와 파형에 따라 달라집니다.)
- 각 테스트 유닛은 여러 무선 통신 표준을 지원합니다.
- 지원 표준: 5G NR Sub-6 GHz, LTE/LTE-Advanced, W-CDMA/HSP, TD-SCDMA, GSM/EDGE, CDMA2000/1xEV-DO 등.
- WLAN 802.11b/g/a/n/ac/ax/p (DSRC V2X)/be, Bluetooth, GPS/Galileo/GLONASS/BeiDou/DVB-H 등.
























































































가격이 궁금하신가요?
더 많은 자료는?


지니어스인더스트리가 취급하는 대부분의 제품은 사업자 간 거래(B2B) 목적의 산업·연구용 전문 계측 장비입니다.
모든 제품은 주문 제작 또는 해외/본사 주문을 통해 공급되고 있으며 실제 현장/시험 환경에서 사용되는 특성상, 일반 소비재와 달리 단순 변심 사유의 반품·환불이 어렵습니다. 장비 개봉, 전원 인가, 설치/시운전, 교정(캘리브레이션) 진행 등으로 제품의 신뢰도와 가치가 달라질 수 있기 때문입니다.
다만 초기 제품 하자(동일 모델 대비 명백한 불량, 운송 중 파손, 사양 상이 등)가 확인되는 경우에는 수령 후 [7일 이내] 연락 주시면 점검 후 조치 또는 A/S 절차를 안내해 드립니다.
단순 변심, 사양 선택 착오, 내부 사정(예: 예산/프로젝트 변경 등)과 같은 구매자 사유로 반품을 요청하시는 경우에는 반품이 제한되며, 예외적으로 협의가 진행될 경우에도 왕복 운송비, 검수 비용, 감가 비용 및 재입고 수수료 등이 청구될 수 있습니다.
구체적인 거래 조건(납기, A/S 범위, 교환 가능 여부 등)은 발행된 견적서, 발주서 확인 메일, 납품서 등에 명시된 내용을 우선합니다.
도움이 필요한 경우 견적서에 명시된 담당자에게 문의해 주세요.
연관상품



