ANRITSU MT8870A 범용 무선테스트세트
ANRITSU MT8870A Universal Wireless Test Set
MT8870A는 무선 장치(디바이스) 제조를 위한 측정 장비입니다. 단일 섀시에 최대 4개의 테스트 장치를 장착할 수 있으며 각 장치는 고속 검사를 위해 병렬로 작동합니다.
클릭 하시면 이동합니다.
안리쓰 ・ ANRITSU
MT8870A
범용 무선테스트세트
MT8870A Universal Wireless Test Set
최신 무선 기술 (5G Sub-6GHz / 802.11ax 등)에 대한 적시 지원
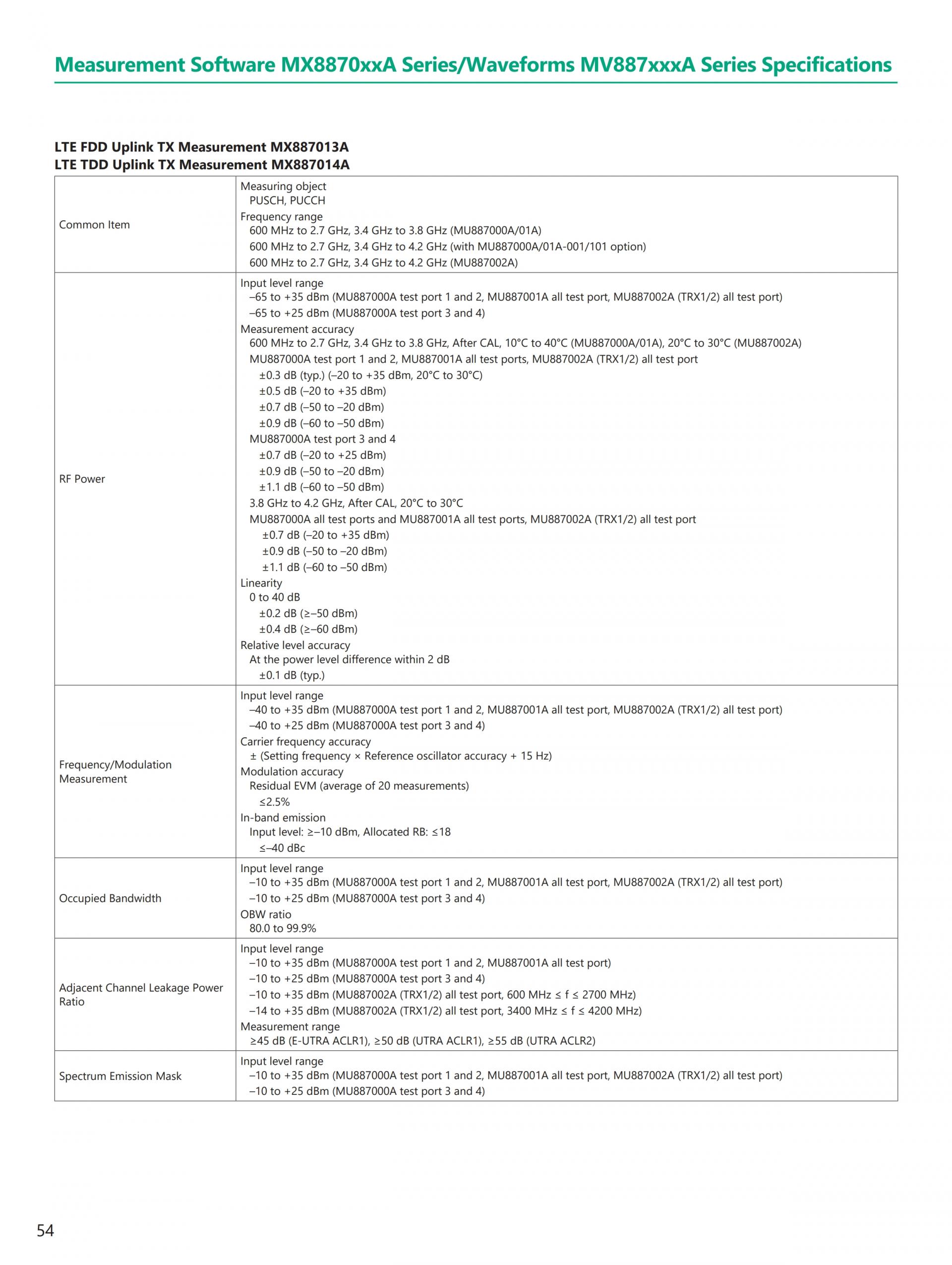
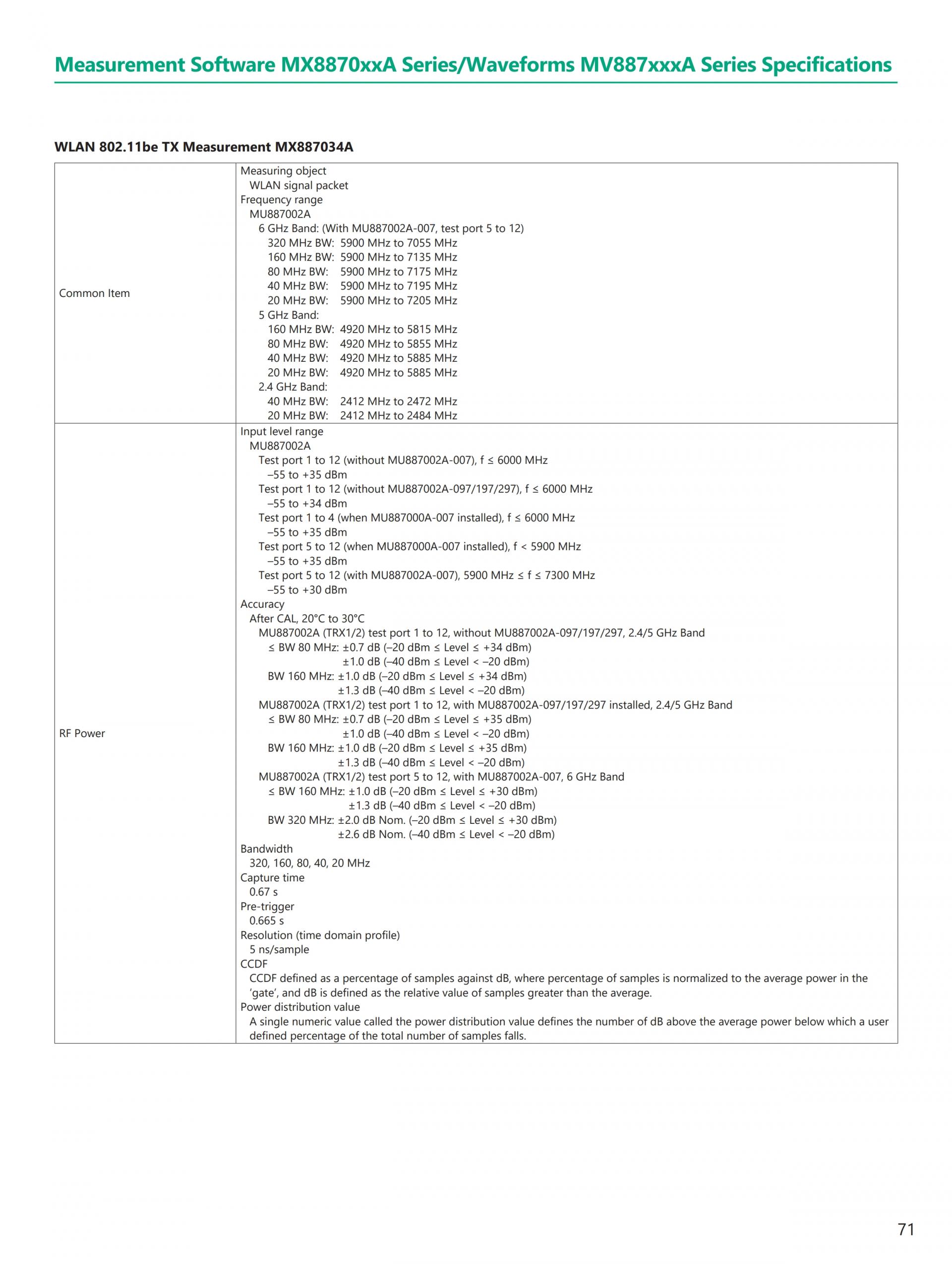
범용 무선 테스트 세트 MT8870A는 5G NR Sub-6GHz, LTE / LTE-Advanced, LTE-V2X, NB-IoT, Cat-M, V2X 802.11p, WLAN, Bluetooth 등 다양한 무선 통신 표준을 지원합니다. 스마트 폰, 자동차 및 IoT 단말기 및 통신 모듈을위한 양산 라인 테스트. MT8870A 본체에는 세 가지 유형의 MU887000A / MU887001A / MU887002A TRx 테스트 모듈을 설치할 수 있으며, 각 모듈에는 모바일 단말기 및 통신 모듈의 Tx 및 Rx 테스트를위한 벡터 신호 발생기와 벡터 신호 분석기가 내장되어 있습니다.
- 테스트 모듈 4개를 수용하는 통합형 플랫폼
최대 네 개의 측정 모듈을 하나의 메인 프레임에 설치할 수 있으며, 각 모듈을 독립적으로 제어할 수 있습니다. 각 모듈은 인프라 비용을 줄이기 위해 동일한 전원 공급 장치, 섀시, 내부 버스 인터페이스를 공유합니다.
- 최대 12 개의 장치 안테나를 직접 연결하여 4 개의 장치를 동시에 측정
MT8870A 본체에 4 개의 테스트 장치를 설치하면 최대 4 개의 연결된 테스트 장치에 대한 동시 병렬 측정이 지원됩니다. 무선 통신 방법을 용이하게하기 위해 무선 통신 장치의 안테나 수가 증가하고 있으므로 설치된 각 MU887002A 테스트 장치는 최대 테스트 설정을 크게 단순화하는 12 개의 안테나.

- 200MHz 표준 대역폭
- MT8870A에 설치된 MU887000A / MU887001A 테스트 장치의 대역폭은 160MHz이고, MU887002A의 대역폭은 200MHz이며, 5G NR Sub-6GHz 및 WLAN 802.11ax TRx 테스트와 향후 5G NR Sub-6을 모두 지원합니다. GHz 2CC TRx 테스트.
- 복수의 무선 표준 지원
- MT8870A는 5G, LTE/LTE-Advanced, V2X, WLAN, 블루투스, 등, 송신 변조 정확도 테스트 TX, RX 감도 RX 검사 등 다양한 무선 통신 시스템의 송신 전력을 측정하는 All-in-one SET입니다.
- 지원되는 표준: 5G NR sub-6 GHz, LTE/LTE-Advanced, LTE-V2X, NB-IoT, Cat-M, W-CDMA/HSPA, TD-SCDMA, GSM/EDGE, CDAM2000/1xEV-DO, WLAN 802.11b/g/a/n/ac/ax/p (DSRC V2X)/be, Bluetooth, ZigBee, Z-Wave, FM/RDS, GPS/Galileo/GLONASS/BeiDou/QZSS, DVB-H, ISDB-T/ISDB-Tmm

- With a built-in audio analyzer and generator for both analog and digital mono and stereo audio, the MU887000A and MU887001A test units installed in the MT8870A not only save space on communication-module production lines but also increase measurement efficiency for better line throughput.

Bluetooth® 워드 마크와 로고는 등록된 상표로서Bluetooth SIG가 소유하며, 안리쓰에 의한 이러한 마크의 사용은 허가를 얻은 것입니다.
범용 무선 테스트 세트 MT8870A
- 스마트폰, 태블릿, 자동차, IoT 장치, 무선 모듈의 대용량 제조 테스트 애플리케이션용으로 설계
- 무선 LAN, 셀룰러, Bluetooth, 기타 무선 연결 애플리케이션
- 소형 섀시 1개에 포함된 고성능 모듈 4개
- 여러 무선 표준의 동시 측정을 지원
- 하나의 라이센스로 설치된 모든 모듈에 관련 기능을 활성화
TRX 테스트 모듈 MU887000A/MU887001A
- 내장 신호 발생기 및 신호 분석기
- 160 MHz의 와이드 측정 대역폭
- 10 MHz에서 6 GHz의 와이드 주파수 범위
- 복수의 무선 모듈을 지원하는 단일 모듈
- 지원되는 표준: 5G NR sub-6GHz,
- LTE/LTE-Advanced, LTE-V2X, NB-IoT, Cat-M, W-CDMA/HSPA, TD-SCDMA, GSM/EDGE, CDMA2000/1xEV-DO,
- WLAN 802.11b/g/a/n/ac/ax/p (DSRC V2X), Bluetooth, ZigBee, Z-Wave, FM/RDS, GPS/Galileo/GLONASS/BeiDou/QZSS, DVB-H, ISDB-T, ISDB-Tmm
- 빌트인 오디오 분석기/오디오 발생기
TRX 테스트 모듈 MU887002A
- 2개의 테스트 유닛으로 구성된 통합 테스트 모듈, 각 테스트 유닛에는 내장 신호 발생기와 신호 분석기가 있으며 독립적으로 제어할 수 있습니다.
- 각 테스트 장치에는 12개의 단자가 있으며 동일한 신호에 대한 동시 출력 기능을 갖추고 있으며 외부 분배기없이 테스트 대상 물체에 연결할 수 있습니다.
- 테스트 유닛에 내장된 CPU, 측정 속도는 외부 PC에 의존하지 않습니다.
- 200MHz 분석 대역폭 및 400MHz ~ 6GHz의 넓은 주파수 범위를 갖춘 표준; MU887002A-007 하드웨어 옵션을 설치하면 상위 주파수 범위가 7.3GHz로 확장됩니다.
- 변조된 신호의 경우에도 0dBm 최대 출력 레벨(신호 품질은 주파수 및 파형에 따라 다름)
- 여러 무선 표준을 지원하는 하나의 모듈
- 지원되는 표준 : 5G NR sub-6 GHz, LTE/LTE-Advanced, LTE-V2X, NB-IoT, Cat-M, W-CDMA/HSPA, TD-SCDMA, GSM/EDGE, CDMA2000/1xEV-DO, WLAN 802.11b/g/a/n/ac/ax/p(DSRC V2X), Bluetooth, ZigBee, Z-Wave, GPS/Galileo/GLONASS/BeiDou/QZSS, DVB-H, ISDB-T
























































































가격이 궁금하신가요?
더 많은 자료는?


지니어스인더스트리가 취급하는 대부분의 제품은 사업자 간 거래(B2B) 목적의 산업·연구용 전문 계측 장비입니다.
모든 제품은 주문 제작 또는 해외/본사 주문을 통해 공급되고 있으며 실제 현장/시험 환경에서 사용되는 특성상, 일반 소비재와 달리 단순 변심 사유의 반품·환불이 어렵습니다. 장비 개봉, 전원 인가, 설치/시운전, 교정(캘리브레이션) 진행 등으로 제품의 신뢰도와 가치가 달라질 수 있기 때문입니다.
다만 초기 제품 하자(동일 모델 대비 명백한 불량, 운송 중 파손, 사양 상이 등)가 확인되는 경우에는 수령 후 [7일 이내] 연락 주시면 점검 후 조치 또는 A/S 절차를 안내해 드립니다.
단순 변심, 사양 선택 착오, 내부 사정(예: 예산/프로젝트 변경 등)과 같은 구매자 사유로 반품을 요청하시는 경우에는 반품이 제한되며, 예외적으로 협의가 진행될 경우에도 왕복 운송비, 검수 비용, 감가 비용 및 재입고 수수료 등이 청구될 수 있습니다.
구체적인 거래 조건(납기, A/S 범위, 교환 가능 여부 등)은 발행된 견적서, 발주서 확인 메일, 납품서 등에 명시된 내용을 우선합니다.
도움이 필요한 경우 견적서에 명시된 담당자에게 문의해 주세요.
안리쓰 ・ ANRITSU
MT8870A
범용 무선테스트세트
MT8870A Universal Wireless Test Set
최신 무선 기술 (5G Sub-6GHz / 802.11ax 등)에 대한 적시 지원
범용 무선 테스트 세트 MT8870A는 5G NR Sub-6GHz, LTE / LTE-Advanced, LTE-V2X, NB-IoT, Cat-M, V2X 802.11p, WLAN, Bluetooth 등 다양한 무선 통신 표준을 지원합니다. 스마트 폰, 자동차 및 IoT 단말기 및 통신 모듈을위한 양산 라인 테스트. MT8870A 본체에는 세 가지 유형의 MU887000A / MU887001A / MU887002A TRx 테스트 모듈을 설치할 수 있으며, 각 모듈에는 모바일 단말기 및 통신 모듈의 Tx 및 Rx 테스트를위한 벡터 신호 발생기와 벡터 신호 분석기가 내장되어 있습니다.
- 테스트 모듈 4개를 수용하는 통합형 플랫폼
최대 네 개의 측정 모듈을 하나의 메인 프레임에 설치할 수 있으며, 각 모듈을 독립적으로 제어할 수 있습니다. 각 모듈은 인프라 비용을 줄이기 위해 동일한 전원 공급 장치, 섀시, 내부 버스 인터페이스를 공유합니다.
- 최대 12 개의 장치 안테나를 직접 연결하여 4 개의 장치를 동시에 측정
MT8870A 본체에 4 개의 테스트 장치를 설치하면 최대 4 개의 연결된 테스트 장치에 대한 동시 병렬 측정이 지원됩니다. 무선 통신 방법을 용이하게하기 위해 무선 통신 장치의 안테나 수가 증가하고 있으므로 설치된 각 MU887002A 테스트 장치는 최대 테스트 설정을 크게 단순화하는 12 개의 안테나.

- 200MHz 표준 대역폭
- MT8870A에 설치된 MU887000A / MU887001A 테스트 장치의 대역폭은 160MHz이고, MU887002A의 대역폭은 200MHz이며, 5G NR Sub-6GHz 및 WLAN 802.11ax TRx 테스트와 향후 5G NR Sub-6을 모두 지원합니다. GHz 2CC TRx 테스트.
- 복수의 무선 표준 지원
- MT8870A는 5G, LTE/LTE-Advanced, V2X, WLAN, 블루투스, 등, 송신 변조 정확도 테스트 TX, RX 감도 RX 검사 등 다양한 무선 통신 시스템의 송신 전력을 측정하는 All-in-one SET입니다.
- 지원되는 표준: 5G NR sub-6 GHz, LTE/LTE-Advanced, LTE-V2X, NB-IoT, Cat-M, W-CDMA/HSPA, TD-SCDMA, GSM/EDGE, CDAM2000/1xEV-DO, WLAN 802.11b/g/a/n/ac/ax/p (DSRC V2X)/be, Bluetooth, ZigBee, Z-Wave, FM/RDS, GPS/Galileo/GLONASS/BeiDou/QZSS, DVB-H, ISDB-T/ISDB-Tmm

- With a built-in audio analyzer and generator for both analog and digital mono and stereo audio, the MU887000A and MU887001A test units installed in the MT8870A not only save space on communication-module production lines but also increase measurement efficiency for better line throughput.

Bluetooth® 워드 마크와 로고는 등록된 상표로서Bluetooth SIG가 소유하며, 안리쓰에 의한 이러한 마크의 사용은 허가를 얻은 것입니다.
범용 무선 테스트 세트 MT8870A
- 스마트폰, 태블릿, 자동차, IoT 장치, 무선 모듈의 대용량 제조 테스트 애플리케이션용으로 설계
- 무선 LAN, 셀룰러, Bluetooth, 기타 무선 연결 애플리케이션
- 소형 섀시 1개에 포함된 고성능 모듈 4개
- 여러 무선 표준의 동시 측정을 지원
- 하나의 라이센스로 설치된 모든 모듈에 관련 기능을 활성화
TRX 테스트 모듈 MU887000A/MU887001A
- 내장 신호 발생기 및 신호 분석기
- 160 MHz의 와이드 측정 대역폭
- 10 MHz에서 6 GHz의 와이드 주파수 범위
- 복수의 무선 모듈을 지원하는 단일 모듈
- 지원되는 표준: 5G NR sub-6GHz,
- LTE/LTE-Advanced, LTE-V2X, NB-IoT, Cat-M, W-CDMA/HSPA, TD-SCDMA, GSM/EDGE, CDMA2000/1xEV-DO,
- WLAN 802.11b/g/a/n/ac/ax/p (DSRC V2X), Bluetooth, ZigBee, Z-Wave, FM/RDS, GPS/Galileo/GLONASS/BeiDou/QZSS, DVB-H, ISDB-T, ISDB-Tmm
- 빌트인 오디오 분석기/오디오 발생기
TRX 테스트 모듈 MU887002A
- 2개의 테스트 유닛으로 구성된 통합 테스트 모듈, 각 테스트 유닛에는 내장 신호 발생기와 신호 분석기가 있으며 독립적으로 제어할 수 있습니다.
- 각 테스트 장치에는 12개의 단자가 있으며 동일한 신호에 대한 동시 출력 기능을 갖추고 있으며 외부 분배기없이 테스트 대상 물체에 연결할 수 있습니다.
- 테스트 유닛에 내장된 CPU, 측정 속도는 외부 PC에 의존하지 않습니다.
- 200MHz 분석 대역폭 및 400MHz ~ 6GHz의 넓은 주파수 범위를 갖춘 표준; MU887002A-007 하드웨어 옵션을 설치하면 상위 주파수 범위가 7.3GHz로 확장됩니다.
- 변조된 신호의 경우에도 0dBm 최대 출력 레벨(신호 품질은 주파수 및 파형에 따라 다름)
- 여러 무선 표준을 지원하는 하나의 모듈
- 지원되는 표준 : 5G NR sub-6 GHz, LTE/LTE-Advanced, LTE-V2X, NB-IoT, Cat-M, W-CDMA/HSPA, TD-SCDMA, GSM/EDGE, CDMA2000/1xEV-DO, WLAN 802.11b/g/a/n/ac/ax/p(DSRC V2X), Bluetooth, ZigBee, Z-Wave, GPS/Galileo/GLONASS/BeiDou/QZSS, DVB-H, ISDB-T
























































































가격이 궁금하신가요?
더 많은 자료는?


지니어스인더스트리가 취급하는 대부분의 제품은 사업자 간 거래(B2B) 목적의 산업·연구용 전문 계측 장비입니다.
모든 제품은 주문 제작 또는 해외/본사 주문을 통해 공급되고 있으며 실제 현장/시험 환경에서 사용되는 특성상, 일반 소비재와 달리 단순 변심 사유의 반품·환불이 어렵습니다. 장비 개봉, 전원 인가, 설치/시운전, 교정(캘리브레이션) 진행 등으로 제품의 신뢰도와 가치가 달라질 수 있기 때문입니다.
다만 초기 제품 하자(동일 모델 대비 명백한 불량, 운송 중 파손, 사양 상이 등)가 확인되는 경우에는 수령 후 [7일 이내] 연락 주시면 점검 후 조치 또는 A/S 절차를 안내해 드립니다.
단순 변심, 사양 선택 착오, 내부 사정(예: 예산/프로젝트 변경 등)과 같은 구매자 사유로 반품을 요청하시는 경우에는 반품이 제한되며, 예외적으로 협의가 진행될 경우에도 왕복 운송비, 검수 비용, 감가 비용 및 재입고 수수료 등이 청구될 수 있습니다.
구체적인 거래 조건(납기, A/S 범위, 교환 가능 여부 등)은 발행된 견적서, 발주서 확인 메일, 납품서 등에 명시된 내용을 우선합니다.
도움이 필요한 경우 견적서에 명시된 담당자에게 문의해 주세요.
연관상품



