클릭 하시면 이동합니다.
안리쓰 ・ ANRITSU
MT8000A
라디오 통신 테스트 스테이션
MT8000A Radio Communication Test Station
All-in-One Support for RF Measurements, Protocol Tests and Applications Tests in FR1 (to 7.125 GHz) and FR2 (Millimeter-Wave) Bands
5G 기지국 에뮬레이션 기능을 갖춘 단일 MT8000A 테스트 플랫폼은 5G에서 사용되는 FR1(~7.125 GHz) 및 FR2(밀리미터파) 대역을 모두 지원합니다. OTA Chamber와 조합함으로써 3GPP에서 규정된 Call 연결에 의한 밀리미터파대역의 RF 측정이나 빔포밍 테스트도 지원합니다. In addition, the intuitive, state-machine-based GUI supports various application tests such as handover tests, quasi-normal and abnormal network tests. Moreover, maximum IP data throughput can be measured for a wide variety of band, CA, and MIMO combinations.

RF TRx Test and Protocol Test Environment Image

Example of Millimeter-wave Band RF/Protocol Test in Combination with RF Chamber

Radio Communication Test Station MT8000A

Shield Box MA8161A
With the Shield Box MA8161A, the MT8000A supports functional tests in FR2 (millimeter-wave) bands.

Example of supported band
Note: Please enquire about other supported bands.
모듈러 아키텍처에 의한 유연한 플랫폼
모듈러 아키텍처에 의한 유연성과 확장성을 갖춘 최첨단 설계. 고속 광대역 통신뿐만 아니라 향후 확대될 URLLC (Ultra-Reliable and Low Latency Communications) 와 mMTC (massive Machine Type Communications)등의 새로운 5G 테스트 요구사항에 유연하게 대응합니다.
기존의 LTE 테스트 환경 지원
안리쓰는 시장에서의 오랜 경험을 바탕으로 LTE 테스트 플랫폼을 사용하여 포괄적인 테스트 환경을 제공함으로써 첨단 기능을 제공합니다. 5G및 LTE NSA(Non-Standalone)와 연계 환경을 시뮬레이션 하기 위한 손쉬운 구성을 통해 고객의 LTE 테스트 환경이나 시나리오 등의 측정 자산을 활용할 수 있습니다.

Image of 5G NR NSA Measurement System using Anritsu LTE Measurement Resources
Note: 디자인, 설명 내용, 외관은 예고없이 변경되는 경우가 있으므로 양해해 주십시오.
Dynamic Spectrum Sharing (DSS)을 지원
DSS에서는 요구 사항에 따라 스케줄러가 지능적으로 4G와 5G 모두에 주파수를 할당합니다. 이것은 주파수를 훨씬 더 효율적으로 사용하는 것입니다.

MT8000A는 여러 NR/LTE 할당 조건에서 DSS의 throughput을 측정할 수 있습니다.

MT8000A 기지국 제조 솔루션 기능
MT8000A는 5G 기지국 제조를 위한 이상적인 non-signaling RF 테스트 솔루션입니다. MX800045A및 MX800046A 소프트웨어와의 결합은 모든 메인 Sub-6 GHz(FR1)와 mmWave(FR2) 주파수 대역을 커버합니다.
효율적인 생산-라인 테스트를 위한 최대 4개의 TRx 포트
최대 4개의 TRx 포트가 설치된 MT8000A는 동시 및 병렬 측정을 모두 쉽게 처리하여 테스트 시간을 단축하고 생산성을 높이고 비용을 절감합니다.
동시측정
MT8000A는 최대 4개의 TRX 포트로 동시 측정을 지원하며 다중 안테나 포트 기지국의 테스트 시간을 단축할 수 있습니다.
병렬측정
MT8000A는 4개의(최대) TRX 포트로 독립적인 병렬 측정을 지원하고 TRX 포트 및 테스트 장비를 중앙 집중화하여 비용을 절감할 수 있습니다. 각 테스트 시스템마다 테스트 장비가 필요한 기존 시스템과 달리 MT8000A는 한 대로 최대 4개의 테스트 시스템을 처리할 수 있습니다.
Sub-6 GHz(FR1)와 mmWave(FR2) 대역 측정 모두 지원
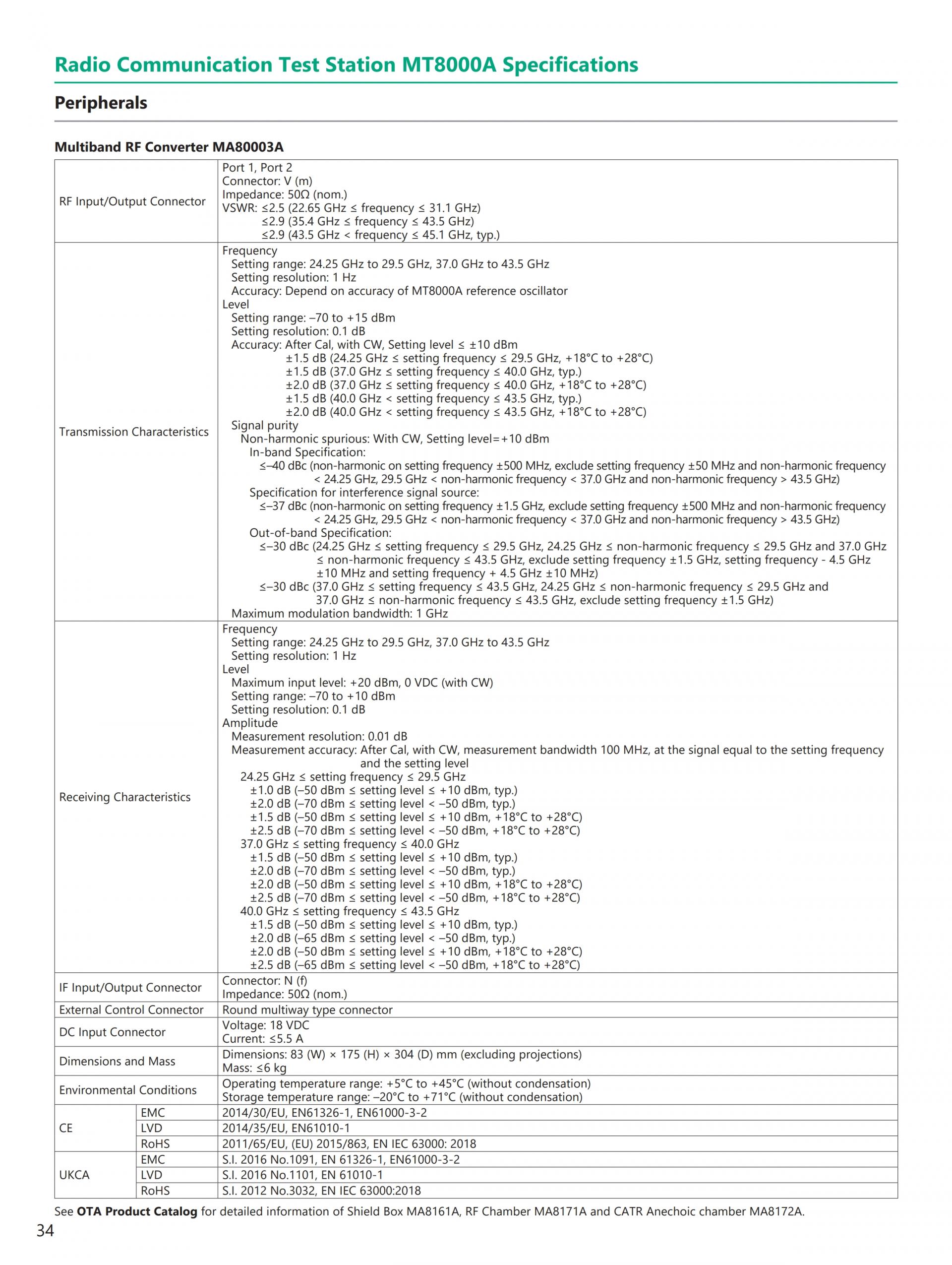
MT8000A와 RF 컨버터(MA80003A)를 연결하면 mmWave(FR2) 측정이 지원됩니다. 올인원 MT8000A는 Sub-6 GHz(FR1) 및 mmWave(FR2) 대역 모두에서 사용되는 주요 주파수 범위를 커버합니다.
NR mmWave MX800045A용 기지국 테스트 제품군/NR Sub-6 GHz MX800046A용 기지국 테스트 제품군의 기능
NR mmWave MX800045A용 기지국 테스트 제품군/NR Sub-6GHz MX800046Am용 기지국 테스트 제품군은 5G NR 기지국의 생산 라인 테스트를 위한 non-signaling RF 테스트 소프트웨어입니다. MX800045A/MX800046A 소프트웨어는 downlink 신호를 분석하고 5G NR Sub-6 GHz(FR1)와 mmWave(FR2) 대역에 대한 RF 특성을 측정합니다.
한 번에 신호 분석 및 RF 특성 측정 가능
MX800045A/MX800046A 소프트웨어는 인접 채널 누설 전력, OBE 등의 RF 특성을 측정하면서 주파수 오류 및 EVM 신호를 분석할 수 있습니다. 각 측정 항목에 대한 신호 분석 소프트웨어 및 스펙트럼 분석기를 전환할 필요가 없으므로 RF 테스트 시간이 단축됩니다.
일괄 다중 캐리어 분석
MX800045A/MX800046A 소프트웨어는 올인원 다중 컴포넌트 캐리어 측정을 지원합니다. 각 단일 캐리어의 특성을 개별적으로 측정할 필요 없이 동시에 빠르게 측정할 수 있습니다.









































가격이 궁금하신가요?
더 많은 자료는?


지니어스인더스트리가 취급하는 대부분의 제품은 사업자 간 거래(B2B) 목적의 산업·연구용 전문 계측 장비입니다.
모든 제품은 주문 제작 또는 해외/본사 주문을 통해 공급되고 있으며 실제 현장/시험 환경에서 사용되는 특성상, 일반 소비재와 달리 단순 변심 사유의 반품·환불이 어렵습니다. 장비 개봉, 전원 인가, 설치/시운전, 교정(캘리브레이션) 진행 등으로 제품의 신뢰도와 가치가 달라질 수 있기 때문입니다.
다만 초기 제품 하자(동일 모델 대비 명백한 불량, 운송 중 파손, 사양 상이 등)가 확인되는 경우에는 수령 후 [7일 이내] 연락 주시면 점검 후 조치 또는 A/S 절차를 안내해 드립니다.
단순 변심, 사양 선택 착오, 내부 사정(예: 예산/프로젝트 변경 등)과 같은 구매자 사유로 반품을 요청하시는 경우에는 반품이 제한되며, 예외적으로 협의가 진행될 경우에도 왕복 운송비, 검수 비용, 감가 비용 및 재입고 수수료 등이 청구될 수 있습니다.
구체적인 거래 조건(납기, A/S 범위, 교환 가능 여부 등)은 발행된 견적서, 발주서 확인 메일, 납품서 등에 명시된 내용을 우선합니다.
도움이 필요한 경우 견적서에 명시된 담당자에게 문의해 주세요.
안리쓰 ・ ANRITSU
MT8000A
라디오 통신 테스트 스테이션
MT8000A Radio Communication Test Station
All-in-One Support for RF Measurements, Protocol Tests and Applications Tests in FR1 (to 7.125 GHz) and FR2 (Millimeter-Wave) Bands
5G 기지국 에뮬레이션 기능을 갖춘 단일 MT8000A 테스트 플랫폼은 5G에서 사용되는 FR1(~7.125 GHz) 및 FR2(밀리미터파) 대역을 모두 지원합니다. OTA Chamber와 조합함으로써 3GPP에서 규정된 Call 연결에 의한 밀리미터파대역의 RF 측정이나 빔포밍 테스트도 지원합니다. In addition, the intuitive, state-machine-based GUI supports various application tests such as handover tests, quasi-normal and abnormal network tests. Moreover, maximum IP data throughput can be measured for a wide variety of band, CA, and MIMO combinations.

RF TRx Test and Protocol Test Environment Image

Example of Millimeter-wave Band RF/Protocol Test in Combination with RF Chamber

Radio Communication Test Station MT8000A

Shield Box MA8161A
With the Shield Box MA8161A, the MT8000A supports functional tests in FR2 (millimeter-wave) bands.

Example of supported band
Note: Please enquire about other supported bands.
모듈러 아키텍처에 의한 유연한 플랫폼
모듈러 아키텍처에 의한 유연성과 확장성을 갖춘 최첨단 설계. 고속 광대역 통신뿐만 아니라 향후 확대될 URLLC (Ultra-Reliable and Low Latency Communications) 와 mMTC (massive Machine Type Communications)등의 새로운 5G 테스트 요구사항에 유연하게 대응합니다.
기존의 LTE 테스트 환경 지원
안리쓰는 시장에서의 오랜 경험을 바탕으로 LTE 테스트 플랫폼을 사용하여 포괄적인 테스트 환경을 제공함으로써 첨단 기능을 제공합니다. 5G및 LTE NSA(Non-Standalone)와 연계 환경을 시뮬레이션 하기 위한 손쉬운 구성을 통해 고객의 LTE 테스트 환경이나 시나리오 등의 측정 자산을 활용할 수 있습니다.

Image of 5G NR NSA Measurement System using Anritsu LTE Measurement Resources
Note: 디자인, 설명 내용, 외관은 예고없이 변경되는 경우가 있으므로 양해해 주십시오.
Dynamic Spectrum Sharing (DSS)을 지원
DSS에서는 요구 사항에 따라 스케줄러가 지능적으로 4G와 5G 모두에 주파수를 할당합니다. 이것은 주파수를 훨씬 더 효율적으로 사용하는 것입니다.

MT8000A는 여러 NR/LTE 할당 조건에서 DSS의 throughput을 측정할 수 있습니다.

MT8000A 기지국 제조 솔루션 기능
MT8000A는 5G 기지국 제조를 위한 이상적인 non-signaling RF 테스트 솔루션입니다. MX800045A및 MX800046A 소프트웨어와의 결합은 모든 메인 Sub-6 GHz(FR1)와 mmWave(FR2) 주파수 대역을 커버합니다.
효율적인 생산-라인 테스트를 위한 최대 4개의 TRx 포트
최대 4개의 TRx 포트가 설치된 MT8000A는 동시 및 병렬 측정을 모두 쉽게 처리하여 테스트 시간을 단축하고 생산성을 높이고 비용을 절감합니다.
동시측정
MT8000A는 최대 4개의 TRX 포트로 동시 측정을 지원하며 다중 안테나 포트 기지국의 테스트 시간을 단축할 수 있습니다.
병렬측정
MT8000A는 4개의(최대) TRX 포트로 독립적인 병렬 측정을 지원하고 TRX 포트 및 테스트 장비를 중앙 집중화하여 비용을 절감할 수 있습니다. 각 테스트 시스템마다 테스트 장비가 필요한 기존 시스템과 달리 MT8000A는 한 대로 최대 4개의 테스트 시스템을 처리할 수 있습니다.
Sub-6 GHz(FR1)와 mmWave(FR2) 대역 측정 모두 지원
MT8000A와 RF 컨버터(MA80003A)를 연결하면 mmWave(FR2) 측정이 지원됩니다. 올인원 MT8000A는 Sub-6 GHz(FR1) 및 mmWave(FR2) 대역 모두에서 사용되는 주요 주파수 범위를 커버합니다.
NR mmWave MX800045A용 기지국 테스트 제품군/NR Sub-6 GHz MX800046A용 기지국 테스트 제품군의 기능
NR mmWave MX800045A용 기지국 테스트 제품군/NR Sub-6GHz MX800046Am용 기지국 테스트 제품군은 5G NR 기지국의 생산 라인 테스트를 위한 non-signaling RF 테스트 소프트웨어입니다. MX800045A/MX800046A 소프트웨어는 downlink 신호를 분석하고 5G NR Sub-6 GHz(FR1)와 mmWave(FR2) 대역에 대한 RF 특성을 측정합니다.
한 번에 신호 분석 및 RF 특성 측정 가능
MX800045A/MX800046A 소프트웨어는 인접 채널 누설 전력, OBE 등의 RF 특성을 측정하면서 주파수 오류 및 EVM 신호를 분석할 수 있습니다. 각 측정 항목에 대한 신호 분석 소프트웨어 및 스펙트럼 분석기를 전환할 필요가 없으므로 RF 테스트 시간이 단축됩니다.
일괄 다중 캐리어 분석
MX800045A/MX800046A 소프트웨어는 올인원 다중 컴포넌트 캐리어 측정을 지원합니다. 각 단일 캐리어의 특성을 개별적으로 측정할 필요 없이 동시에 빠르게 측정할 수 있습니다.









































가격이 궁금하신가요?
더 많은 자료는?


지니어스인더스트리가 취급하는 대부분의 제품은 사업자 간 거래(B2B) 목적의 산업·연구용 전문 계측 장비입니다.
모든 제품은 주문 제작 또는 해외/본사 주문을 통해 공급되고 있으며 실제 현장/시험 환경에서 사용되는 특성상, 일반 소비재와 달리 단순 변심 사유의 반품·환불이 어렵습니다. 장비 개봉, 전원 인가, 설치/시운전, 교정(캘리브레이션) 진행 등으로 제품의 신뢰도와 가치가 달라질 수 있기 때문입니다.
다만 초기 제품 하자(동일 모델 대비 명백한 불량, 운송 중 파손, 사양 상이 등)가 확인되는 경우에는 수령 후 [7일 이내] 연락 주시면 점검 후 조치 또는 A/S 절차를 안내해 드립니다.
단순 변심, 사양 선택 착오, 내부 사정(예: 예산/프로젝트 변경 등)과 같은 구매자 사유로 반품을 요청하시는 경우에는 반품이 제한되며, 예외적으로 협의가 진행될 경우에도 왕복 운송비, 검수 비용, 감가 비용 및 재입고 수수료 등이 청구될 수 있습니다.
구체적인 거래 조건(납기, A/S 범위, 교환 가능 여부 등)은 발행된 견적서, 발주서 확인 메일, 납품서 등에 명시된 내용을 우선합니다.
도움이 필요한 경우 견적서에 명시된 담당자에게 문의해 주세요.
연관상품



